Предмет: Алгебра,
автор: philipstelik7303
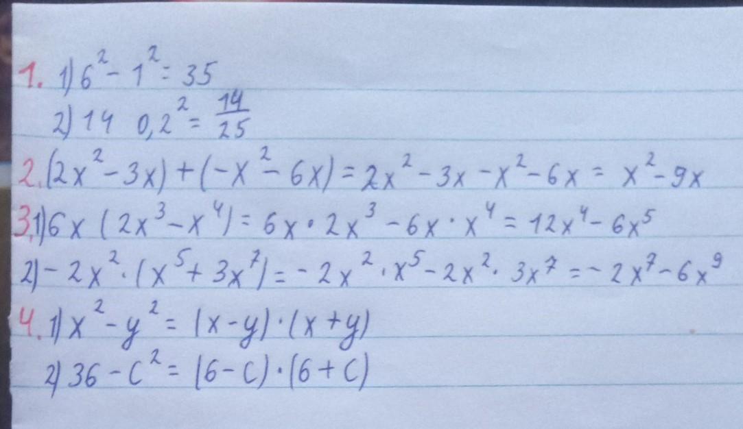
Помогите мне пожалуйста Срочноо!!!С полной розвязкой !! Полностью записать упражнения!!! пжжажжжпжппж
ПЛАЧУ 35 БАЛЛОВ!!
Приложения:
philipstelik7303:
Помогите мне срочно пожалуйста
Ответы
Автор ответа:
0
Я сделала 1-4
5 не смогла
Приложения:
Похожие вопросы
Предмет: Русский язык,
автор: Аноним
Предмет: Русский язык,
автор: anastasij2002
Предмет: Русский язык,
автор: artyompankratof
Предмет: Математика,
автор: Саща124