Предмет: Алгебра,
автор: sabi0000
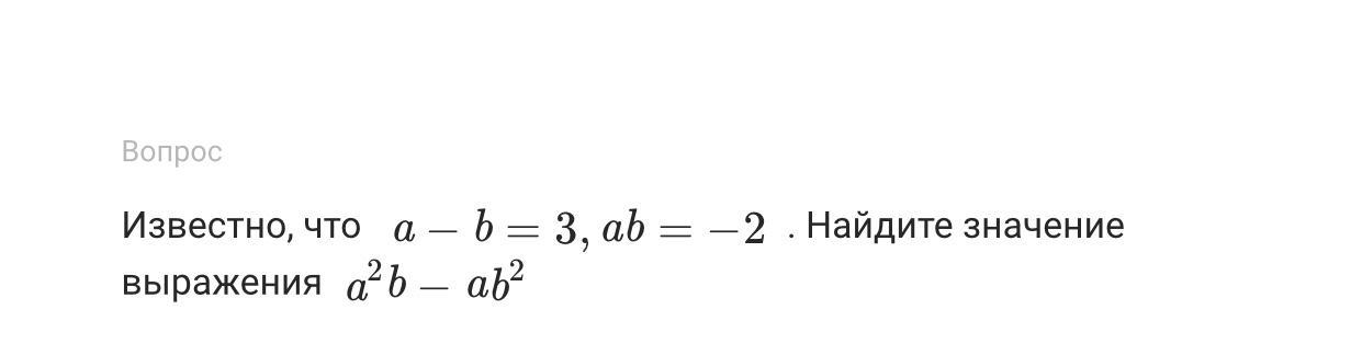
Помогите пожалуйста решить!
Приложения:
Ответы
Автор ответа:
0
Ответ:
-6
Объяснение:
a²b-ab²=ab(a-b)=-2×3=-6
Автор ответа:
0
Ответ:
Вот, надеюсь правильно....
Приложения:
Похожие вопросы
Предмет: Русский язык,
автор: Аноним
Предмет: Английский язык,
автор: dariya13579
Предмет: Другие предметы,
автор: Аноним
Предмет: Математика,
автор: alisasadiev
Предмет: Физика,
автор: Dasha2900000