Предмет: Геометрия, автор: markzagur1995

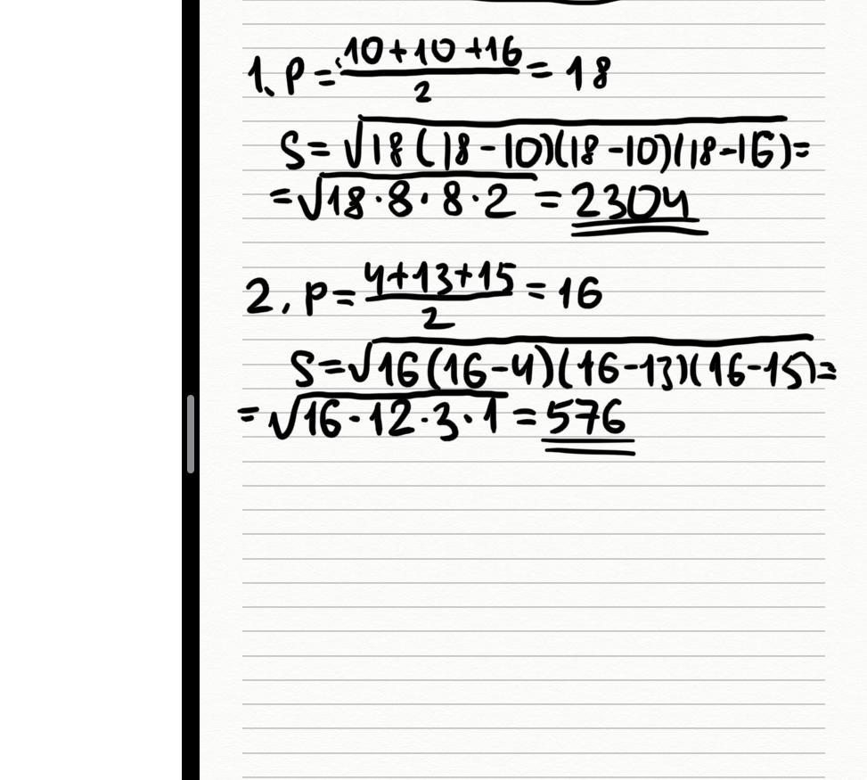
342. Найдите площадь треугольника, если его стороны равны:
а) 10 см, 10 см, 16 см; б) 4 см, 13 см, 15 см​

Ответы

Автор ответа: itachiackerman
11
Привет, решение во вложении. Пожалуйста, не забудь потом отметить мой ответ как лучший:)
Приложения:
Похожие вопросы
Предмет: Беларуская мова, автор: GreenF
Шэсць прыказакШэсць прыказак абагульнена–асабовага тыпу Шэсць прыказакШэсць прыказак абагульнена–асабовага тыпуШэсць прыказакШэсць прыказак абагульнена–асабовага тыпуШэсць прыказакШэсць прыказак абагульнена–асабовага тыпуШэсць прыказакШэсць прыказак абагульнена–асабовага тыпуШэсць прыказакШэсць прыказак абагульнена–асабовага тыпуШэсць прыказакШэсць прыказак абагульнена–асабовага тыпуШэсць прыказакШэсць прыказак абагульнена–асабовага тыпуШэсць прыказакШэсць прыказак абагульнена–асабовага тыпуШэсць прыказакШэсць прыказак абагульнена–асабовага тыпуШэсць прыказакШэсць прыказак абагульнена–асабовага тыпуШэсць прыказакШэсць прыказак абагульнена–асабовага тыпуШэсць прыказакШэсць прыказак абагульнена–асабовага тыпуШэсць прыказакШэсць прыказак абагульнена–асабовага тыпуШэсць прыказакШэсць прыказак абагульнена–асабовага тыпуШэсць прыказакШэсць прыказак абагульнена–асабовага тыпуШэсць прыказакШэсць прыказак абагульнена–асабовага тыпуШэсць прыказакШэсць прыказак абагульнена–асабовага тыпуШэсць прыказакШэсць прыказак абагульнена–асабовага тыпуШэсць прыказакШэсць прыказак абагульнена–асабовага тыпуШэсць прыказакШэсць прыказак абагульнена–асабовага тыпуШэсць прыказакШэсць прыказак абагульнена–асабовага тыпуШэсць прыказакШэсць прыказак абагульнена–асабовага тыпуШэсць прыказакШэсць прыказак абагульнена–асабовага тыпуШэсць прыказакШэсць прыказак абагульнена–асабовага тыпуШэсць прыказакШэсць прыказак абагульнена–асабовага тыпуШэсць прыказакШэсць прыказак абагульнена–асабовага тыпуШэсць прыказакШэсць прыказак абагульнена–асабовага тыпуШэсць прыказакШэсць прыказак абагульнена–асабовага тыпуШэсць прыказакШэсць прыказак абагульнена–асабовага тыпуШэсць прыказакШэсць прыказак абагульнена–асабовага тыпуШэсць прыказакШэсць прыказак абагульнена–асабовага тыпуШэсць прыказакШэсць прыказак абагульнена–асабовага тыпуШэсць прыказакШэсць прыказак абагульнена–асабовага тыпуШэсць прыказакШэсць прыказак абагульнена–асабовага тыпуШэсць прыказакШэсць прыказак абагульнена–асабовага тыпуШэсць прыказакШэсць прыказак абагульнена–асабовага тыпуШэсць прыказакШэсць прыказак абагульнена–асабовага тыпуШэсць прыказакШэсць прыказак абагульнена–асабовага тыпуШэсць прыказакШэсць прыказак абагульнена–асабовага тыпуШэсць прыказакШэсць прыказак абагульнена–асабовага тыпуШэсць прыказакШэсць прыказак абагульнена–асабовага тыпуШэсць прыказакШэсць прыказак абагульнена–асабовага тыпуШэсць прыказакШэсць прыказак абагульнена–асабовага тыпуШэсць прыказакШэсць прыказак абагульнена–асабовага тыпуШэсць прыказакШэсць прыказак абагульнена–асабовага тыпуШэсць прыказакШэсць прыказак абагульнена–асабовага тыпуШэсць прыказакШэсць прыказак абагульнена–асабовага тыпуШэсць прыказакШэсць прыказак абагульнена–асабовага тыпуШэсць прыказакШэсць прыказак абагульнена–асабовага тыпуШэсць прыказакШэсць прыказак абагульнена–асабовага тыпуШэсць прыказакШэсць прыказак абагульнена–асабовага тыпуШэсць прыказакШэсць прыказак абагульнена–асабовага тыпуШэсць прыказакШэсць прыказак абагульнена–асабовага тыпуШэсць прыказакШэсць прыказак абагульнена–асабовага тыпуШэсць прыказакШэсць прыказак абагульнена–асабовага тыпуШэсць прыказакШэсць прыказак абагульнена–асабовага тыпуШэсць прыказакШэсць прыказак абагульнена–асабовага тыпуШэсць прыказакШэсць прыказак абагульнена–асабовага тыпуШэсць прыказакШэсць прыказак абагульнена–асабовага тыпуШэсць прыказакШэсць прыказак абагульнена–асабовага тыпуШэсць прыказакШэсць прыказак абагульнена–асабовага тыпуШэсць прыказакШэсць прыказак абагульнена–асабовага тыпуШэсць прыказакШэсць прыказак абагульнена–асабовага тыпуШэсць прыказакШэсць прыказак абагульнена–асабовага тыпуШэсць прыказакШэсць прыказак абагульнена–асабовага тыпуШэсць прыказакШэсць прыказак абагульнена–асабовага тыпуШэсць прыказакШэсць прыказак абагульнена–асабовага тыпуШэсць прыказакШэсць прыказак абагульнена–асабовага тыпуШэсць прыказакШэсць прыказак абагульнена–асабовага тыпуШэсць прыказакШэсць прыказак абагульнена–асабовага тыпуШэсць прыказакШэсць прыказак абагульнена–асабовага тыпуШэсць прыказакШэсць прыказак абагульнена–асабовага тыпуШэсць прыказакШэсць прыказак абагульнена–асабовага тыпуШэсць прыказак

Предмет: Математика, автор: ДашаШупп2006