Предмет: Алгебра,
автор: oli8лет
Помогите решение голова кругом
Приложения:
Ответы
Автор ответа:
0
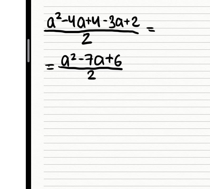
Привет, решение во вложении. Пожалуйста, не забудь потом отметить мой ответ как лучший, спасибо!
Приложения:
Похожие вопросы
Предмет: Русский язык,
автор: Аноним
Предмет: Русский язык,
автор: nast1984
Предмет: Русский язык,
автор: sveta080580
Предмет: Математика,
автор: мшфиарьшфиадрь
Предмет: Математика,
автор: Вероника39104