Предмет: Математика,
автор: Palencova12345
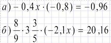
Решите уравнение, пожалуйста
Приложения:
Ответы
Автор ответа:
0
Ответ:
a) 0,32x= -0,96
x= -3
Пошаговое объяснение:
b) - *
*
x =20,16
-4 * *
x=20,16
-x= 20,16
x= - * 20,16
x= - *
x= -6
Автор ответа:
0
Ответ:
a)x=-3
б)x=-3
Объяснение:
а)0,32x=-0,96
x=-0,96:0,32
x=-3
б)8/9*18/5*(-2,1x)=20,16
-8*2/5*21/10x=20,16
-4*2/5*21/5x=20,16
-168/25x=20,16
x=-25/168*20,16
x=-25/168*504/25
x=-3
a)x=-3
б)x=-3
Объяснение:
а)0,32x=-0,96
x=-0,96:0,32
x=-3
б)8/9*18/5*(-2,1x)=20,16
-8*2/5*21/10x=20,16
-4*2/5*21/5x=20,16
-168/25x=20,16
x=-25/168*20,16
x=-25/168*504/25
x=-3
Похожие вопросы
Предмет: Другие предметы,
автор: Graf2555
Предмет: Русский язык,
автор: zo23na
Предмет: Английский язык,
автор: vfhwtgyf
Предмет: Литература,
автор: vadmir764
Предмет: История,
автор: Гагик