Предмет: Алгебра,
автор: Jdjn1
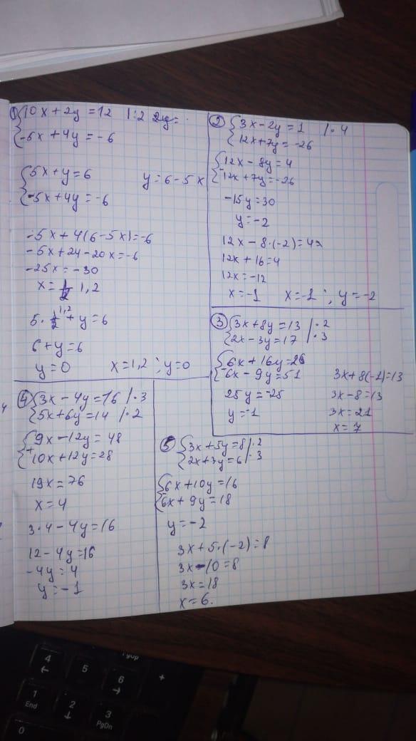
Решите методом алгебраическим решением даю 79
баллов
Приложения:
Ответы
Автор ответа:
2
Ответ:
1-е решил времени нет ещё решить
Объяснение:
Приложения:
Автор ответа:
1
Если тебе что то не понятно, можешь смело спрашивать. Удачи!
Приложения:
Похожие вопросы
Предмет: Русский язык,
автор: gemini1985
Предмет: Английский язык,
автор: lahdush
Предмет: Русский язык,
автор: Akylai22
Предмет: Математика,
автор: isuenbaeva
Предмет: Литература,
автор: ZXCVBNM9999