Предмет: Математика,
автор: Аноним
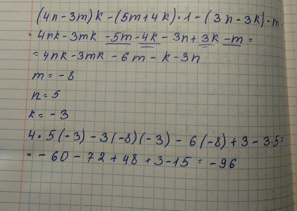
Упростите выражение и вычислите его числовое значение:
(4n - Зm) k— (5m + 4k) 1 - (3n — 3k) - m, если m = -8; n = 5; k= -3.
Ответы
Автор ответа:
3
Пошаговое объяснение:
Привет)
решение во вложении.
Всегда рада помочь)
Удачи тебе)
Приложения:
Похожие вопросы
Предмет: Русский язык,
автор: Ангелина860
Предмет: Другие предметы,
автор: Аноним
Предмет: Другие предметы,
автор: Дашулькин2003
Предмет: Алгебра,
автор: sashamolniya