Предмет: Алгебра,
автор: chelovekrubik
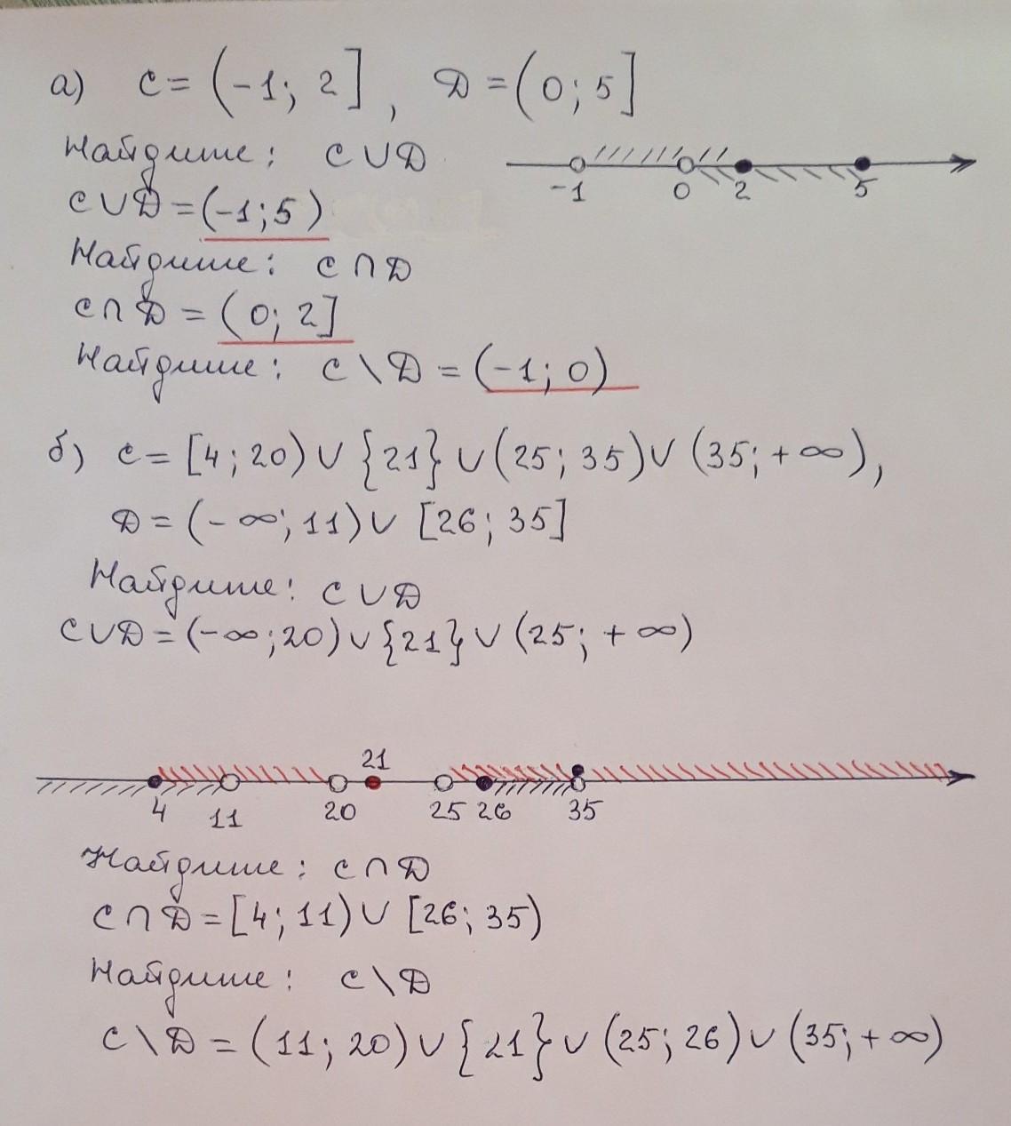
Условие и вопрос на рисунке!!!
Приложения:
Ответы
Автор ответа:
2
Ответ:
Обьединение и пересечение множеств.
Приложения:
Похожие вопросы
Предмет: Английский язык,
автор: Аноним
Предмет: Русский язык,
автор: Натиа6764994
Предмет: Другие предметы,
автор: korokina2013
Предмет: Математика,
автор: ангелина614
Предмет: Литература,
автор: Alex765An