Предмет: Алгебра,
автор: strigri
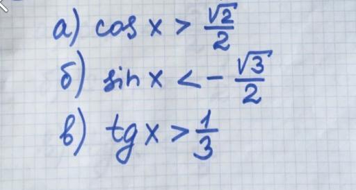
Помогите решить, пожалуйста
Приложения:
Ответы
Автор ответа:
0
Ответ:
a 526
б 892
в 126
Объяснение:
Похожие вопросы
Предмет: Английский язык,
автор: Немогусделатьдомашку
Предмет: Другие предметы,
автор: GivLer
Предмет: Другие предметы,
автор: lyudaF
Предмет: Химия,
автор: Atrksusha