Предмет: Алгебра,
автор: Mashecha
Алгебра.8 класс
Задания на картинке ниже
Приложения:
Ответы
Автор ответа:
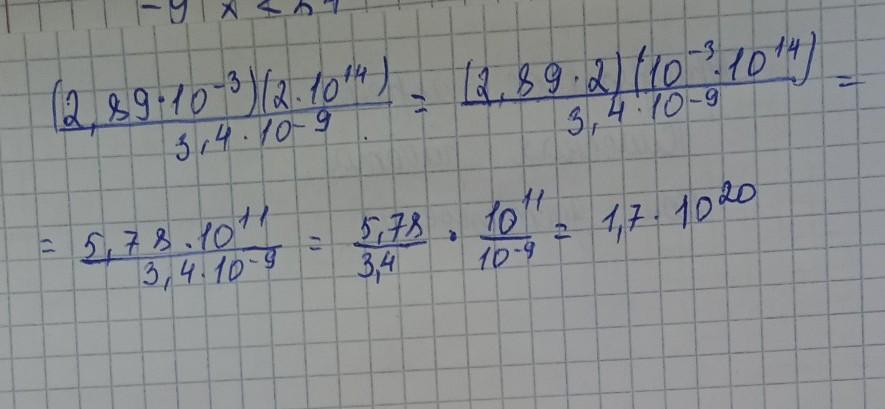
1
Ответ:
Так думаю
Если не правильно простите
Приложения:
Mashecha:
Ничего, спасибо большое)
Похожие вопросы
Предмет: Русский язык,
автор: Elena04
Предмет: Русский язык,
автор: SmakovaNastya
Предмет: Английский язык,
автор: alekseygold
Предмет: Литература,
автор: Дениска1324
Предмет: Литература,
автор: Aлександрович