Предмет: Математика,
автор: jegorcarpoff
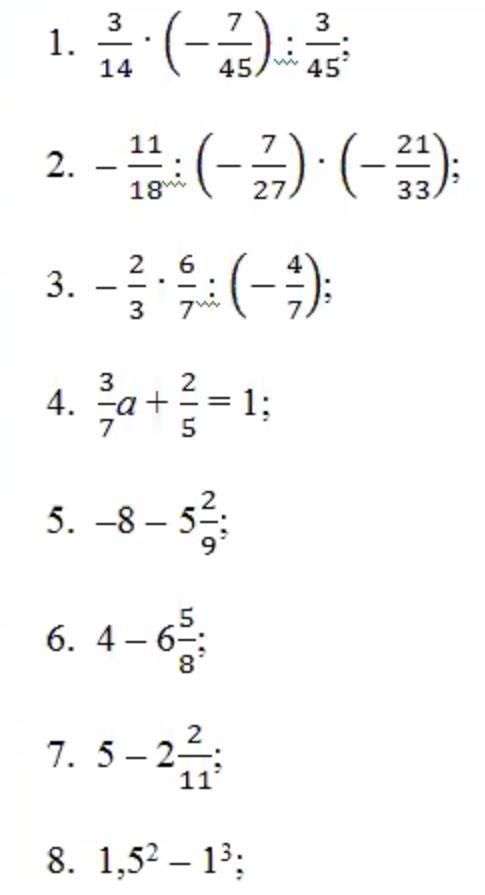
Решите 8 примеров, даю 30 баллов
Приложения:
Ответы
Автор ответа:
1
должно быть правильным
Приложения:
jegorcarpoff:
Спасибо
Похожие вопросы
Предмет: Русский язык,
автор: pokemon2312
Предмет: Другие предметы,
автор: ainagul2003
Предмет: Русский язык,
автор: altrosergey
Предмет: Математика,
автор: OblomoffSL