Предмет: Геометрия,
автор: kranchez
РЕШИТЕ СРОЧНО ДАЮ 100 БАЛОВ
Приложения:
kranchez:
можно с решением
скиньте решений
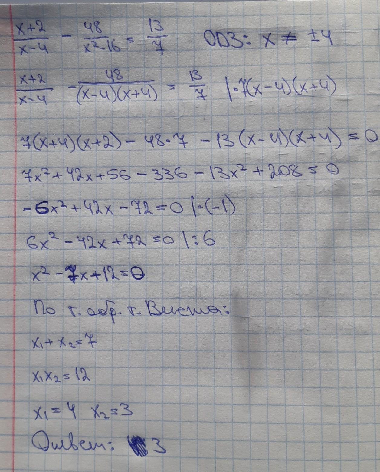
Ответы
Автор ответа:
1
1. 3
2. нет корней
3. -8
4. нет корней
Объяснение:
смотри фото
Приложения:
Похожие вопросы
Предмет: Русский язык,
автор: neizvestno787
Предмет: Русский язык,
автор: Pfinksten
Предмет: Русский язык,
автор: Darisha38
Предмет: Математика,
автор: Svetlana30051
Предмет: Литература,
автор: Alinochka92