Предмет: Математика, автор: albertkagirov13

Помогите пожалуйста!

Приложения:

Ответы

Автор ответа: vero2015
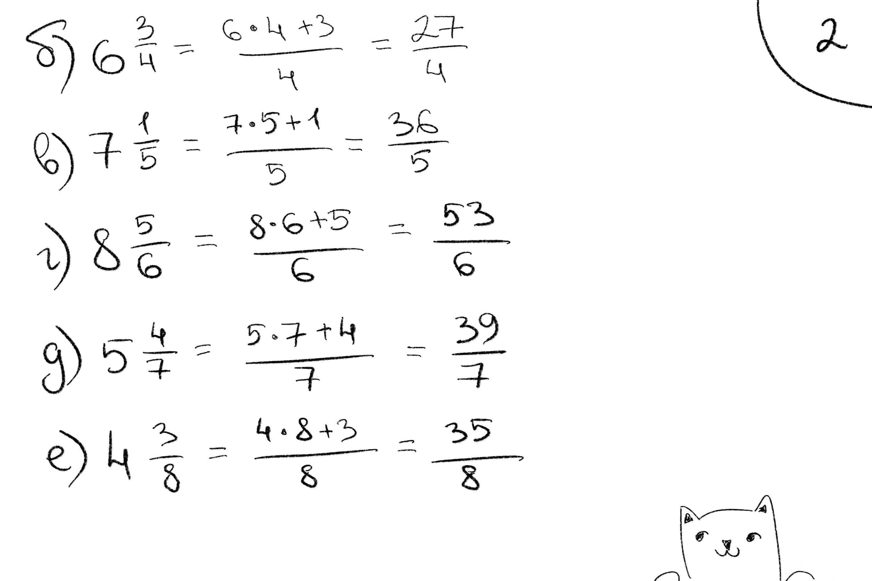
1

Ответ прикрепила в виде рисунка

Приложения:

albertkagirov13: Спасибо огромное!
vero2015: :)
Похожие вопросы
Предмет: Русский язык, автор: lenka4337

помогите пожалуйста, срочно надо

В данных текстах назовите типы стилистических фигур; укажите в чем заключается выразительность

Когда умирают кони – дышат,

Когда умирают травы – сохнут,

Когда умирают солнца – они гаснут,

Когда умирают люди – они песни поют.

 

2. О Русь моя!... Огонь и дым.

Законы вкривь и вкось.

О, сколько именем твоим

Страдальческим клялось!

 

3. Ах ты, матушка — Россия,

что ты делаешь со мной?

То ли все вокруг смурные?

То ли я один смурной!

 

4. И рано нас равнять с болотной слизью -

Мы гнезд себе на гнили не совьем!

Мы не умрем мучительною жизнью -

Мы лучше верной смертью оживем!

 

5. Может, рыдал, что вода уходит?

Может, иное молил спасти?

Может быть, мстил за разор угодий?

Слезы стоят на моем пути.

 

6. Где твои семнадцать лет?

На Большом Каретном.

Где твои семнадцать бед?

На Большом Каретном.

Где твой черный пистолет?

На Большом Каретном.

Где тебя сегодня нет?

На Большом Каретном.

7. Ночь такая – очи выколи. 

Мою лучшую строку,

нападающую – выкрали…

Ни гугу.

 

8. За меня невеста отрыдает честно, 

За меня ребята отдадут долги,

За меня другие отпоют все песни,

И, быть может, выпьют за меня враги.

Предмет: Алгебра, автор: гоголь12