Предмет: Алгебра, автор: EgorSkvortsof

Люди добрые ПОМОГИТЕ решить пожалуйста!!!!​

Приложения:

Ответы

Автор ответа: Rat228
0

Ответ:

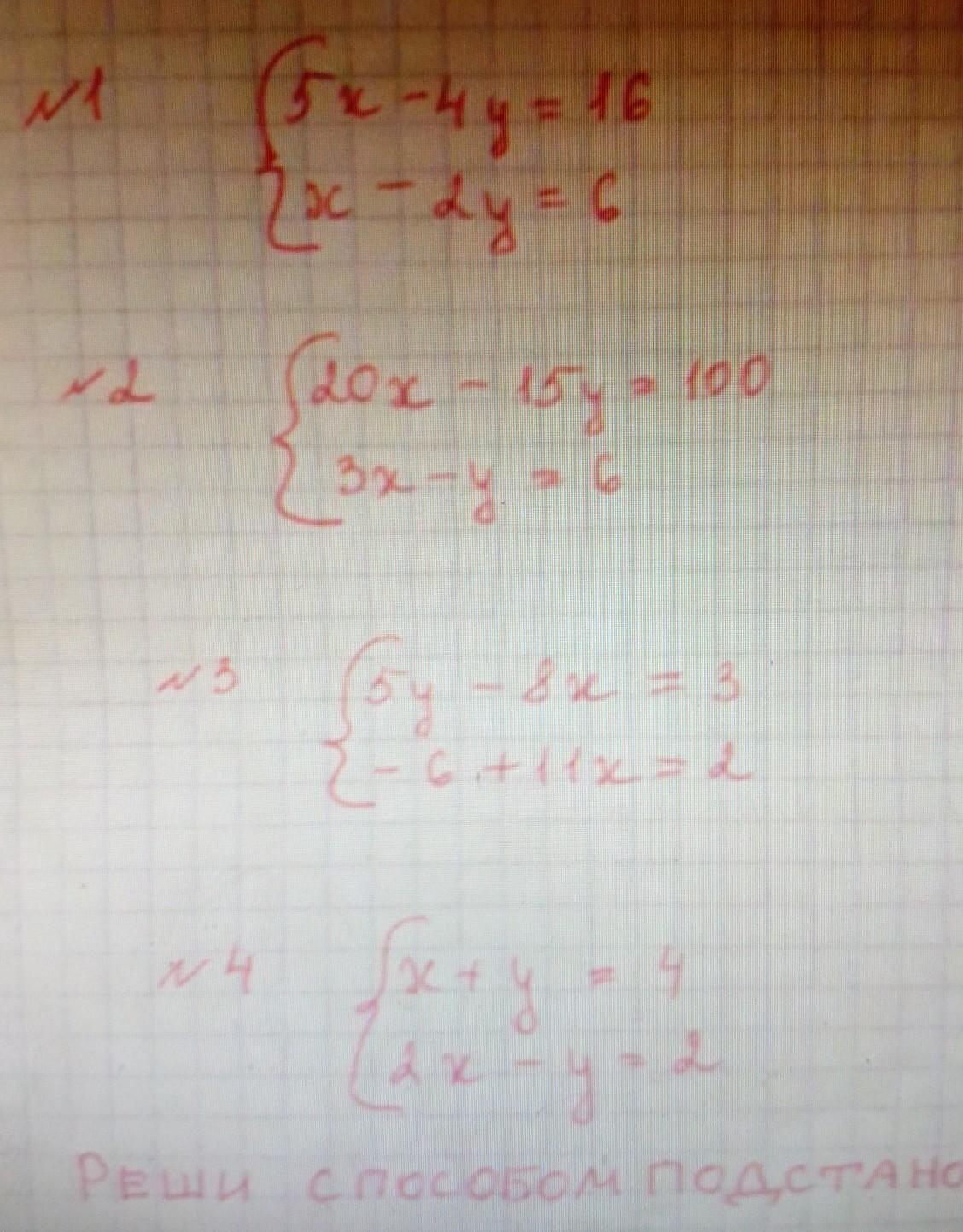
1. x=8; y=6

x=12; y=3

2. x=2; y=4

x=2; y=0

3. y=7; x=4

тут я незнаю

4. x=2; y=2

x=3; y=4

Похожие вопросы
Предмет: Русский язык, автор: Аноним

Определение, выраженные причастным оборотом.
 Выпишите  из   предложений определение , выражение  причастных оборотами, вместе с определяемыми словами , оформляя их по образцу.
 1) Подувал ветер , пахнущий полынью и пшеничной соломой , раскачивал на меже высокие  репейники. (А.Н.Толстой.) 2) Деревья напоминали  высокие  скалы , обросшие  тёмным мхом. (А.Первенцев) 3) Они прошли в дом  через  большую каменную  террасу ,  со  всех  сторон  закрытую густыми  шпалерами винограда "Изабелла" . (А.Куприн.)4) Месяцы , прожитые у баб ушки и дедушки , я вспоминаю трудно .(С . Маршак)  5) Мы любовались чудесный картиной природы ,  совершенно  не  затронутой войной , природы , продолжавший следовать своим законам  жизни . (А. Первенцев.) 6) Тишина прорывалась звуками песни , долетавший с  реки . (М.Горький) 7) В вокзале  сидели  лишь две  старушки ,  ожидавшие полуночного поезда местного  сообщения.(А.Платонов.) 8) На крыльце на досках , очищенных от снега , сидел пёс Пятница . (Ю.Яковлев) 9) Дневальный помешивал кочерёжкой прозрачные , налитые золотым  жаром головёшки. (Б.Лавренёв.)

Предмет: Английский язык, автор: Ризагуль