Предмет: Алгебра,
автор: Аноним
Помогите пожалуйсто
Приложения:
Ответы
Автор ответа:
0
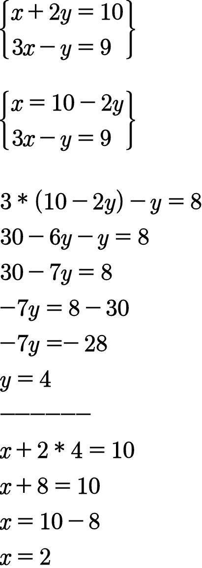
Ответ во вложении....
Приложения:
Похожие вопросы
Предмет: Русский язык,
автор: serova12
Предмет: Русский язык,
автор: Викуша20003
Предмет: Русский язык,
автор: mirahka2012
Предмет: Математика,
автор: elenakareva79