Предмет: Математика,
автор: tsergij842
Помогите пж сделать самостийну роботу (вариант 1) очень срочно.
Приложения:
Ответы
Автор ответа:
1
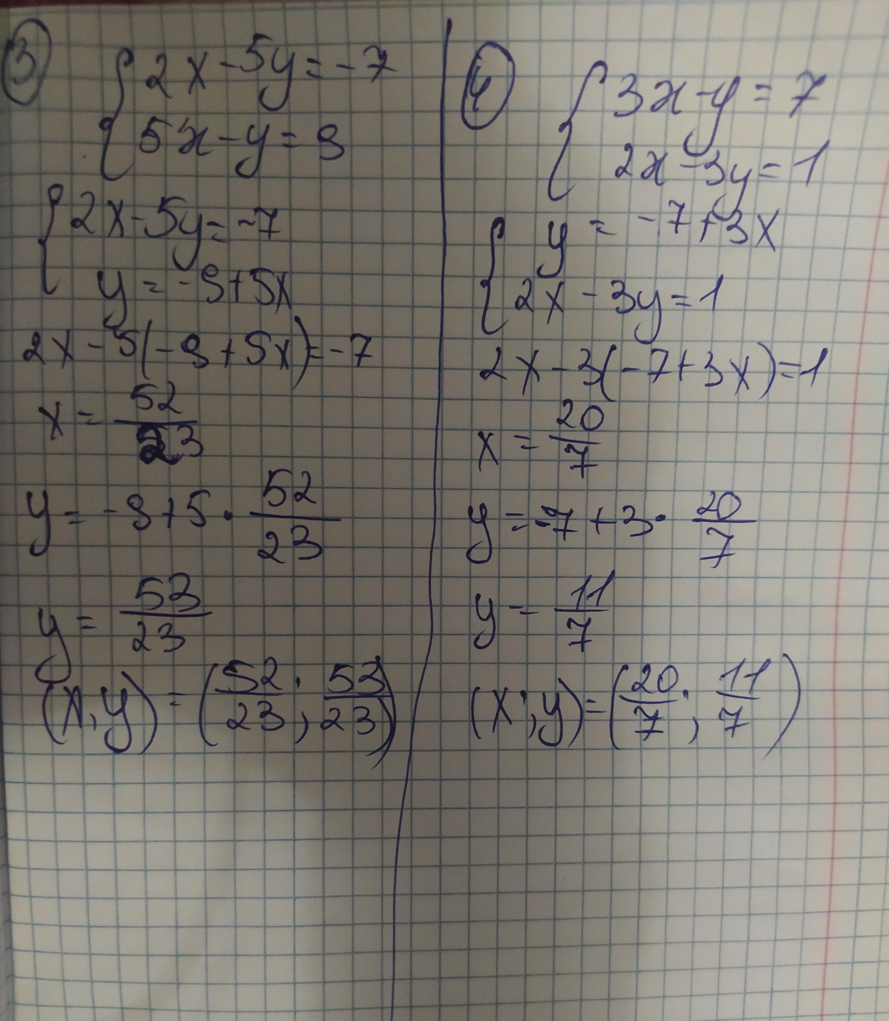
Ответ:
Пошаговое объяснение:щас скину ещё 3 и 4
Приложения:
rinadolar376:
Надеюсь помогла
Большое спасибо
Похожие вопросы
Предмет: Русский язык,
автор: maralabdulla
Предмет: Английский язык,
автор: BobMarley800
Предмет: Русский язык,
автор: Аноним
Предмет: Математика,
автор: muzafarova931