Предмет: Алгебра,
автор: angelinashermab
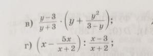
Помогите пожалуйста решить примеры.
Приложения:
Ответы
Автор ответа:
0
Ответ:
г.) x
Приложения:
Похожие вопросы
Предмет: Английский язык,
автор: linarkuz11
Предмет: Русский язык,
автор: артём12222222222222
Предмет: Русский язык,
автор: tskomarova
Предмет: Математика,
автор: ali9n8a7
Предмет: Математика,
автор: Еллаffffffffr