Предмет: Алгебра,
автор: zhukovazlatochka
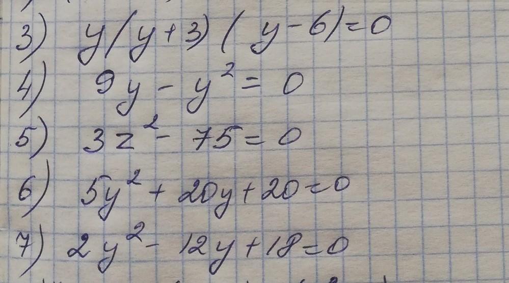
помогите пожалуйста решить уравнения
Дам 10 баллов
Приложения:
Ответы
Автор ответа:
1
3-у1=-3 у2=0 у3=6
4-у1=-3 у2=3
5-z1=-5 z2=5
6-у=-2
7-у=3
Похожие вопросы
Предмет: Английский язык,
автор: твайлайт92
Предмет: Русский язык,
автор: mituna
Предмет: Русский язык,
автор: milashkaa
Предмет: Алгебра,
автор: 7fир