Предмет: Алгебра,
автор: lizaivannikova0
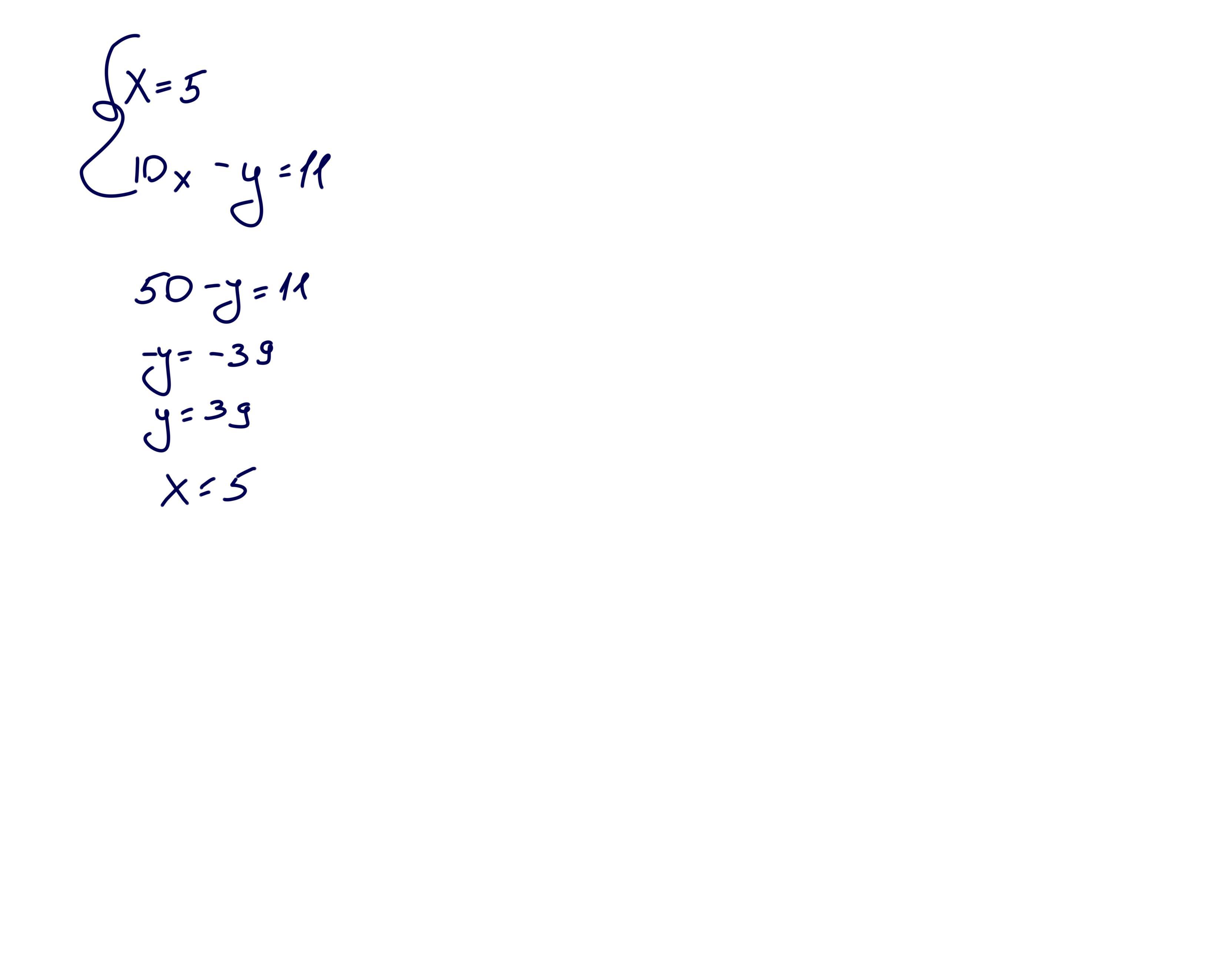
Реши систему:
{x=5
{10x−y=11
Помогите пожалуйста!!!
Ответы
Автор ответа:
0
Тут все написано,отметь решение как лучшее
Приложения:
Похожие вопросы
Предмет: Другие предметы,
автор: azilprok
Предмет: Русский язык,
автор: makcimkalinin
Предмет: Русский язык,
автор: Hari2001
Предмет: Химия,
автор: Sky1ray66
Предмет: Алгебра,
автор: Аноним