Предмет: Информатика,
автор: Semro
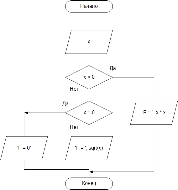
Составить блок схему. Вычислить функцию
F=x^2, если x<0,
F= корень из x, если x>0,
F=0, если x=0.
Ответы
Автор ответа:
0
program znanija_com;
var
temp : real;
begin
writeln('В ведите Х');
readln(temp);
if temp < 0 then writeln('F = ', temp * temp)
else
if temp = 0 then writeln('F = 0')
else writeln('F = ', sqrt(temp));
readln();
end.
var
temp : real;
begin
writeln('В ведите Х');
readln(temp);
if temp < 0 then writeln('F = ', temp * temp)
else
if temp = 0 then writeln('F = 0')
else writeln('F = ', sqrt(temp));
readln();
end.
Приложения:
Похожие вопросы
Предмет: Английский язык,
автор: evelinali200919
Предмет: Қазақ тiлi,
автор: barysnuray9
Предмет: Математика,
автор: aimanurlan
Предмет: Физика,
автор: lerazlatova