Предмет: Алгебра,
автор: vikabulavin12
пожалуйста решите прошу только с объяснением
Приложения:
Ответы
Автор ответа:
1
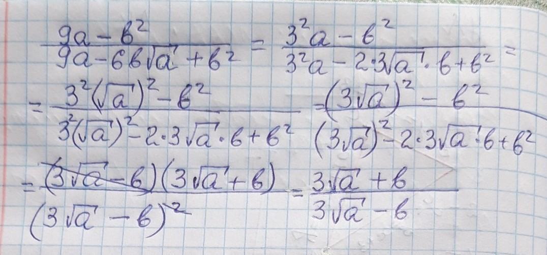
Ответ:
Сократите дробь.....
Приложения:
vikabulavin12:
огромное спасибо
это идеальный ответ
Похожие вопросы
Предмет: Українська мова,
автор: dashkanujnaia
Предмет: Другие предметы,
автор: ilonav
Предмет: Русский язык,
автор: barrydrago
Предмет: Биология,
автор: Полина11122485339
Предмет: Математика,
автор: valiznan7600