Предмет: Математика,
автор: nastyahoves27
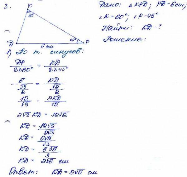
В треугольнике KPD сторона PD=6см, угол K=600, угол P=450. Найдите сторону KD. Пожалуйста, помогите
Ответы
Автор ответа:
1
Ответ:
Пошаговое объяснение:
Приложения:
Автор ответа:
1
Дано:
треугольник KPD
сторона PD = 6 см
угол K = 60°
угол P = 45°
Найти:KD
Решение:
по теореме синусов:
=
Значит KD = =
=
= 2
Ответ: 2 см
Похожие вопросы
Предмет: Другие предметы,
автор: Кристина20020112
Предмет: Другие предметы,
автор: shuravilina
Предмет: Другие предметы,
автор: Аноним
Предмет: Биология,
автор: farzo2016
Предмет: История,
автор: tris2