Предмет: Алгебра,
автор: joylike
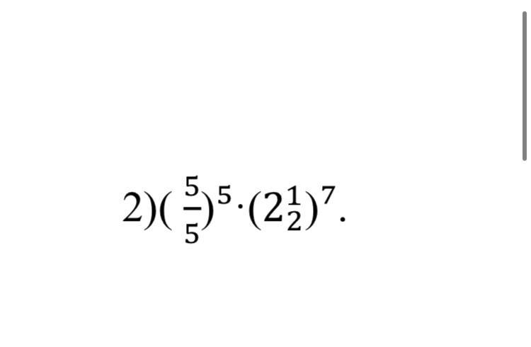
Помогите со 2, 20 баллов!
Приложения:
Ответы
Автор ответа:
1
фотокарточка очка)))
Приложения:
Похожие вопросы
Предмет: Русский язык,
автор: 2001lena
Предмет: Русский язык,
автор: furlettat78
Предмет: Русский язык,
автор: ЛеРоКаАаА
Предмет: Литература,
автор: cat555666
Предмет: Биология,
автор: ASANOVAEKATERINA