Предмет: Математика,
автор: baibol27
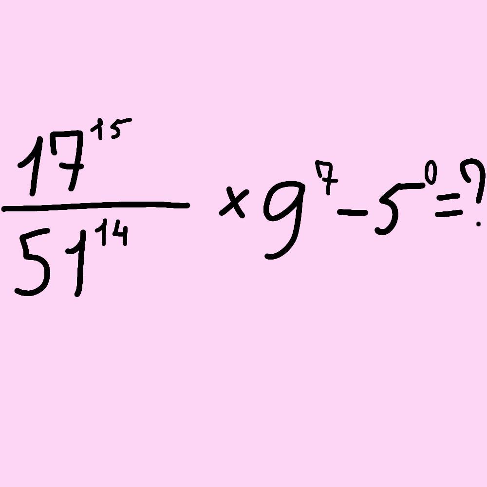
318.Вычислите ..............................................
Приложения:
baibol27:
С пошаговым объяснением пж
Ответы
Автор ответа:
4
Ответ:
17 15 умножаем на три четырнадцатых минус один
3 14 X 17 14
17 минус один
ответ:16
Пошаговое объяснение:
Похожие вопросы
Предмет: Русский язык,
автор: yyausheva
Предмет: Другие предметы,
автор: karzinanastya
Предмет: Русский язык,
автор: Аноним
Предмет: География,
автор: Sherlockcorse