Предмет: Алгебра,
автор: Аноним
Ребят,помогите пожалуйста решить
Даю 15 баллов
Приложения:
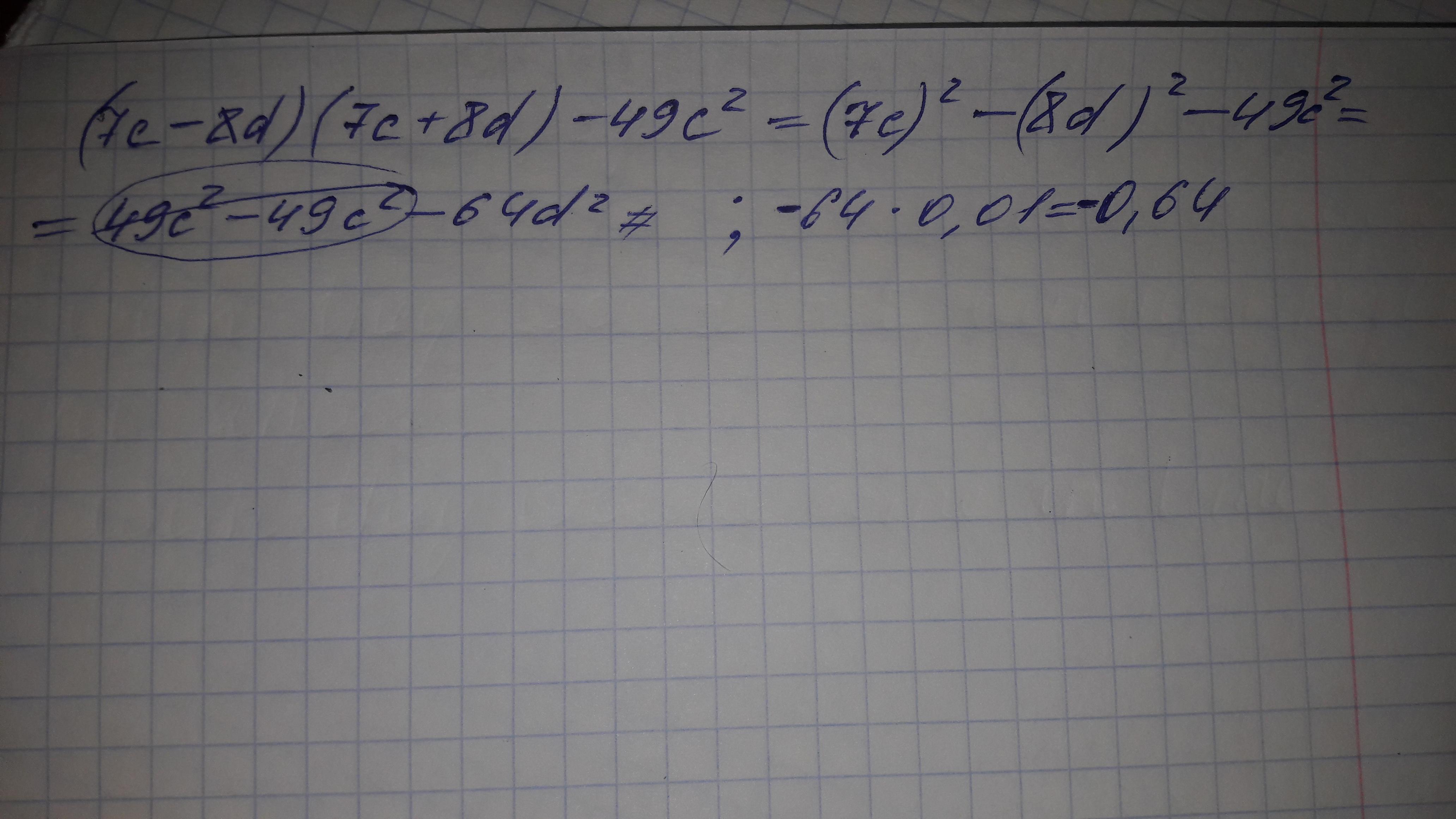
Ответы
Автор ответа:
1
Ответ: -0,64
так, полное решение на фото
Приложения:
Похожие вопросы
Предмет: Українська література,
автор: danilstetsyuk
Предмет: Русский язык,
автор: vlad1234512345
Предмет: Русский язык,
автор: uliana200
Предмет: Литература,
автор: Серый967
Предмет: Математика,
автор: 15519