Предмет: Математика,
автор: grebenukovvd
Решите умоляю даю много балов
Приложения:
Ответы
Автор ответа:
0
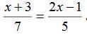
Ответ:
x=22/9
Пошаговое объяснение:
5(x+3) = 7(2x-1)
5x+15=7(2x-1)
5x+15=14x-7
5x-14x+15=-7
5x-14=-7-15
-9x=-7-15
-9x=-22
x= 22/9
Похожие вопросы
Предмет: Русский язык,
автор: mako220175
Предмет: Русский язык,
автор: albi99
Предмет: Українська мова,
автор: elenkaklimenko
Предмет: Математика,
автор: Умелый11
Предмет: Математика,
автор: viktor12341