Предмет: Алгебра,
автор: vladimir473
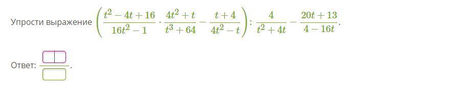
Помогите с алгеброй, срочно!
Приложения:
rybnikovp:
ща решу
поставь лучший ответ, если не жалко
ок, жду
Ответы
Автор ответа:
2
Ответ:
t(4t²-3t) + 3(t+3) / 4(4t-1)
/ - это знак деления в дробях, если что
Так и записывать в ответ?
в числитель записываешь t(4t²-3t) + 3(t+3)
в знаменатель 4(4t-1)
ок, спасибо
сделай ответ лучшим, если не сложно
Похожие вопросы
Предмет: Русский язык,
автор: gonlir
Предмет: Русский язык,
автор: назуля22
Предмет: Русский язык,
автор: assambaeva
Предмет: Биология,
автор: балет1