Предмет: Алгебра,
автор: abamattop
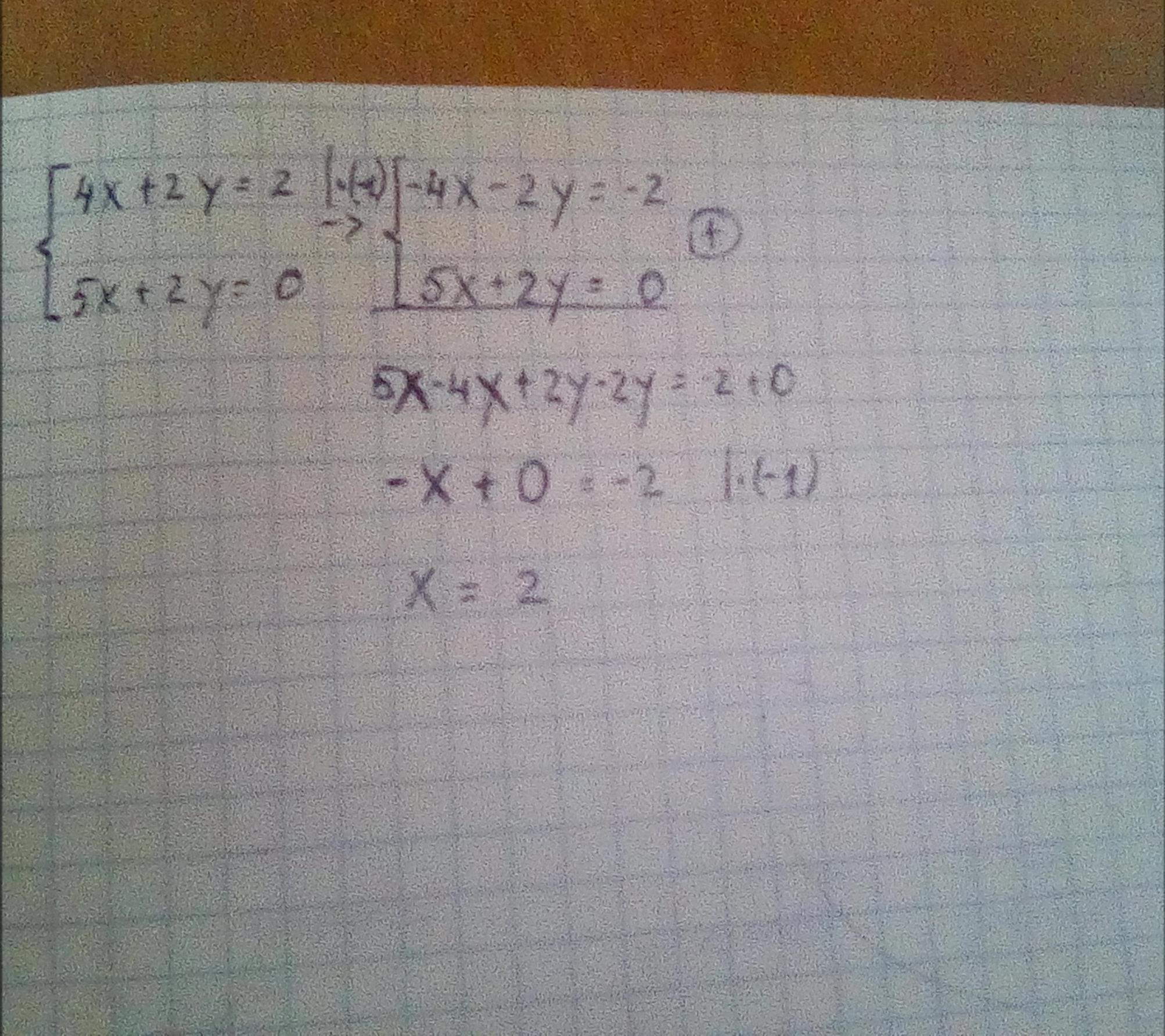
Решить систему уравнений способом сложения:
{4x+2y=2
{5x+2y=0
ПОМОГИТЕ, ПОДРОБНО, ПОЖАЛУЙСТА
Ответы
Автор ответа:
0
Ответ:2
Объяснение:
Вроде так
Приложения:
Похожие вопросы
Предмет: Русский язык,
автор: lMileyCyrusl
Предмет: Английский язык,
автор: kriminal1996
Предмет: Английский язык,
автор: alenkaaa1
Предмет: Биология,
автор: 14632654
Предмет: Алгебра,
автор: taniabrileva