Предмет: Алгебра, автор: leraocheretny2018

4x-5y=2 7x+15y=51 решите систему уравнений пожалуйста!!!!!!

Ответы

Автор ответа: Ami023
2

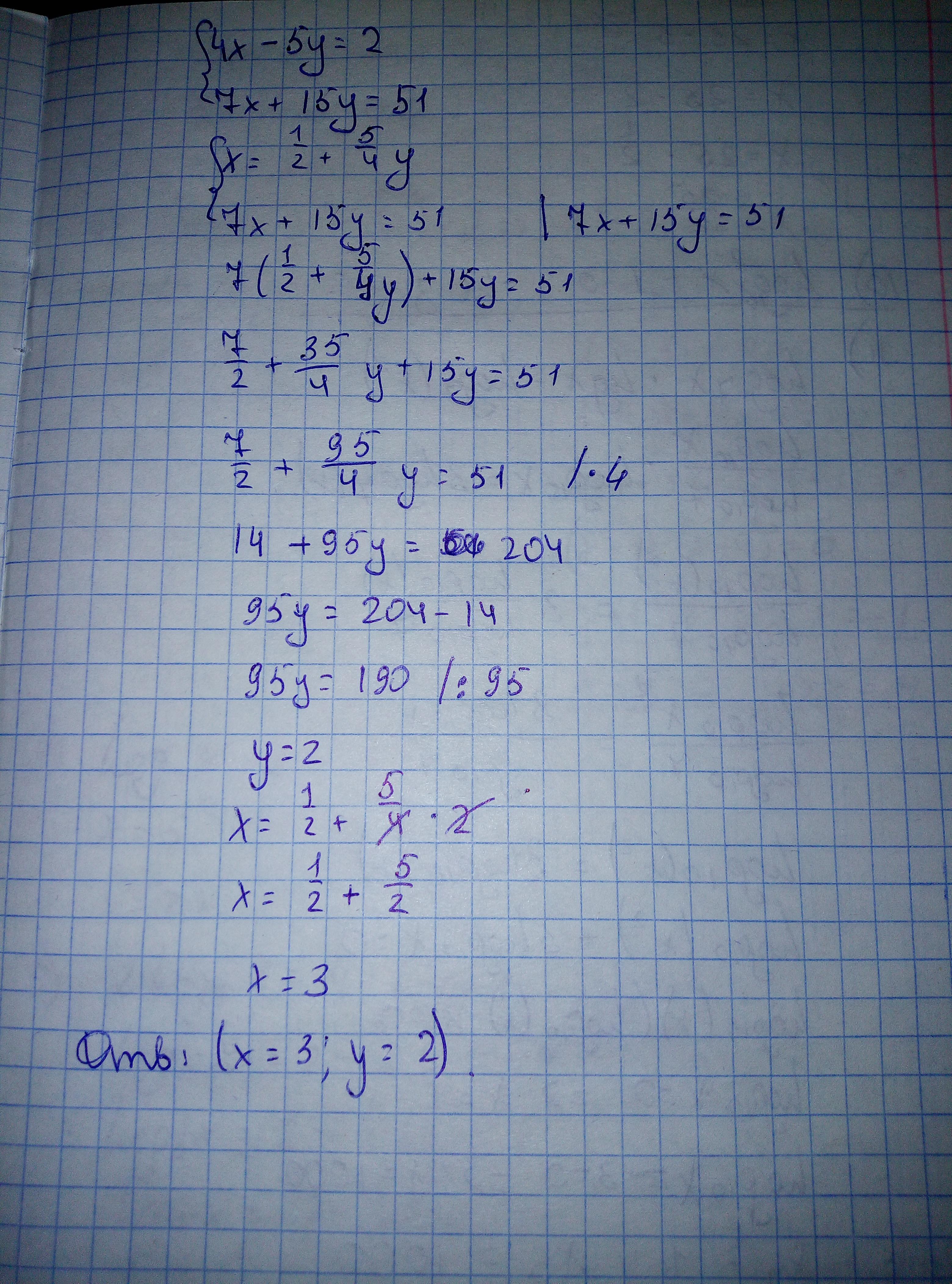
Ответ:сейчас пришлю фото

Объяснение:

Приложения:
Автор ответа: UncleGreg
2

Ответ:

x = 3, y = 2

Объяснение:

4x - 5y = 2

7x + 15y = 51

Такого вида системы легко решаются сложением уравнений. Но перед сложением нужно умножить одно из уравнений на коэффициент так, чтобы при сложении сократился один из неизвестных.

Для данного случае умножим первое уравнение на 3 и сложин уравнения.

7x + 3*4x + 15y - 3*5y = 51 + 3*2

19x = 57

x = 57/19 = 3

Найдём y из первого уравнения

y = (4x - 2)/5 = 10/5 = 2

Похожие вопросы
Предмет: Русский язык, автор: Katya11111Katya
Везувий – вулкан на берегу Неаполитанского залива, в 10 километрах к юго-востоку от Неаполя, возвышающийся среди равнины, сложенной из трахитовых туфов.
По своему рельефу Везувий представляет собой три конуса, как бы вставленные друг в друга. Наружный ( 12,9 км в ​диаметре), самый древний из них, образует крутой, островерхий вал, называемый Монте Сомма. Внутри Монте Соммы возвышается основной, более молодой конус извержения(1303 м высоты) с кратером – обширной впадиной на вершине. Кратер этот имеет 190 м глубины и до 500 м ширины; на своем дне он несет еще один, наиболее молодой, вторичный конус (30 м над дном кратера) с двумя отверстиями в нем, через которые в настоящее время и осуществляется вулканическая деятельность Везувия.
Монте Сомма слагается из переслаивающихся пластов лавы и туфа (отвердевшего пепла). Лавы, извергаемые Везувием ,состоят из черной стекловидной массы, из стенок кратера местами вырываются водяные пары и газы, имеющие температуру до 400 градусов.


Выпишите из текста прилагательное, употребленное в форме составной превосходной степени.


Предмет: Литература, автор: hellangel2004