Предмет: Алгебра,
автор: nuznoocen0
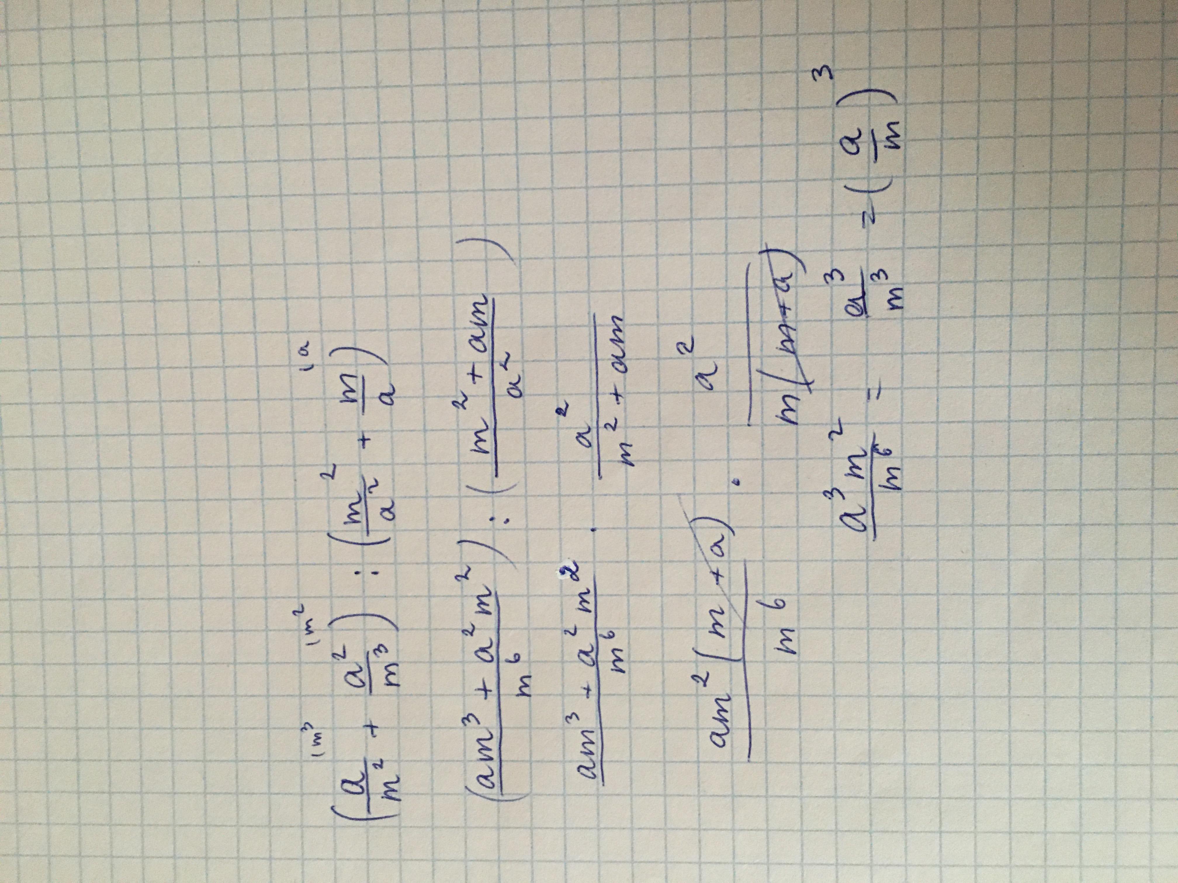
помогите пожалуйста решить второе
Приложения:
Ответы
Автор ответа:
0
::::::::::::::::::::::::::
Приложения:
Похожие вопросы
Предмет: Русский язык,
автор: знаток56
Предмет: Английский язык,
автор: gusaida
Предмет: Русский язык,
автор: grincevich
Предмет: Математика,
автор: bad1wolf
Предмет: Математика,
автор: дарын10