Предмет: Физика,
автор: Диффка
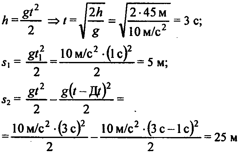
маленький стальной шарик упал с высоты 45м. сколько времени длилось его падение? какое перемещение совершил шарик за первую и последнюю секунды своего движения?(g=10м/с^)
Ответы
Автор ответа:
0
дано
g-10м/с(2)
h = 45v
t1 = 1c
tдельта= 1c
g-10м/с(2)
h = 45v
t1 = 1c
tдельта= 1c
Приложения:
Похожие вопросы
Предмет: Биология,
автор: maryna9754
Предмет: Українська мова,
автор: veronicha666
Предмет: Литература,
автор: onyshkosofia
Предмет: Информатика,
автор: Дарья281097