Предмет: Математика,
автор: gorbachyov2007
Помогите решить срочно! ДАЮ 20 БАЛЛОВ!!!
Приложения:
gorbachyov2007:
Можно даже просто ответ
Ответы
Автор ответа:
0
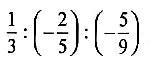
Ответ:
3/2
Пошаговое объяснение:
1/3*5/2*9/5
1/3*1/2*9
Сокращаем 3 и 9
1/2*3=1/2*3/1=3/2
Похожие вопросы
Предмет: Русский язык,
автор: Юulchik
Предмет: Другие предметы,
автор: karpeevao25
Предмет: Русский язык,
автор: reigen
Предмет: Химия,
автор: t45r4t4
Предмет: География,
автор: каренчо12