Предмет: Алгебра,
автор: Anyaaa7272728
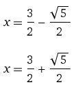
x²-3x+1=0 помогите пожалуйста
Ответы
Автор ответа:
1
- Ответ: Ответ в фото
Объяснение:
Приложения:
Похожие вопросы
Предмет: Русский язык,
автор: Аноним
Предмет: Русский язык,
автор: ira888Z
Предмет: Русский язык,
автор: леляlove
Предмет: Математика,
автор: индира104
Предмет: Математика,
автор: 55555309