Предмет: Алгебра,
автор: connorwayne9807
Возвести в степень
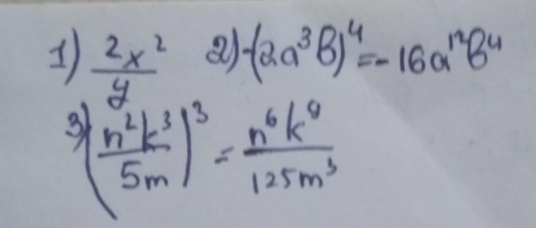
1)(2x^2/y)
2)-(2a^3b)^4
3)(n^2k^3/5m)^3
Ответы
Автор ответа:
1
Ответ:
Ответ на фото
Объяснение:
Объяснение на фото
Приложения:
Автор ответа:
1
Ответ:
1) не смогла сделать
2) -16а^12b
3) n^6k^3/125m^3
Похожие вопросы
Предмет: Русский язык,
автор: Sonjuschka
Предмет: Английский язык,
автор: ELCHANIN2000
Предмет: Другие предметы,
автор: Philcamera
Предмет: Химия,
автор: mihaylovaol