Предмет: Математика,
автор: fgbygffhhu
ответьте пожалуйста, очень сильно надо
Приложения:
Ответы
Автор ответа:
1
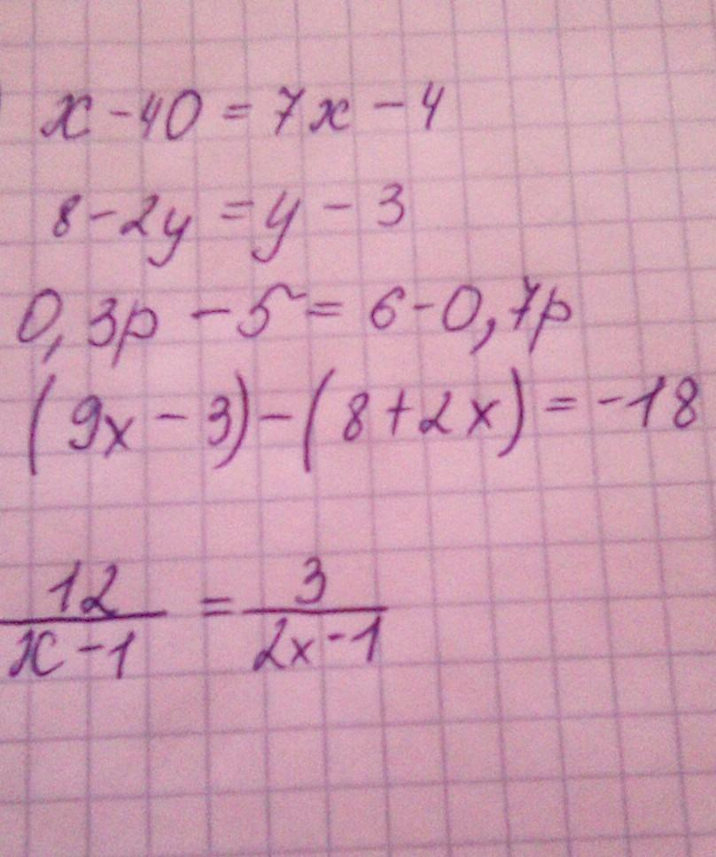
1.x-40=7x-4
x-7x=-4+40
-6x=36
x=-6
2.8-2y=y-3
-2y-y=-3-8
-3y=-11
y=-11/3=-3 2/3
3.0,3p-5=6-0,7p
0,3p+0,7p=6+5
p=11
4.(9x-3)-(8+2x)=-18
9x-3-8-2x=-18
9x-2x=-18+3+8
7x=-7
x=-1
предполагаю,что так)
x-7x=-4+40
-6x=36
x=-6
2.8-2y=y-3
-2y-y=-3-8
-3y=-11
y=-11/3=-3 2/3
3.0,3p-5=6-0,7p
0,3p+0,7p=6+5
p=11
4.(9x-3)-(8+2x)=-18
9x-3-8-2x=-18
9x-2x=-18+3+8
7x=-7
x=-1
предполагаю,что так)
fgbygffhhu:
большое спасибо)
Похожие вопросы
Предмет: Английский язык,
автор: syava2104los
Предмет: Русский язык,
автор: Lerka888
Предмет: Русский язык,
автор: Лейла555555
Предмет: Математика,
автор: Зарина3567
Предмет: Литература,
автор: andreykablinov