Предмет: Алгебра,
автор: superkot9rka
30 баллов . . . .... . . ..
Приложения:
superkot9rka:
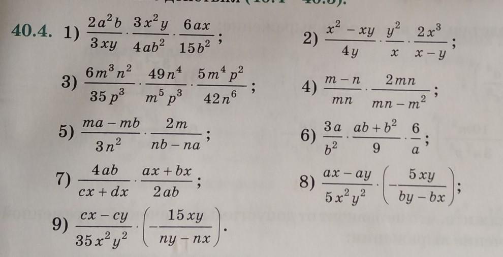
выполните действие
Ответы
Автор ответа:
0
Ответ:
прости за подчерк, но вроде все понятно. надеюсь помогла)
Приложения:
Похожие вопросы
Предмет: Русский язык,
автор: alekberov2004
Предмет: Русский язык,
автор: Polya02
Предмет: Русский язык,
автор: Егоза1
Предмет: Математика,
автор: Alinaaa990909
Предмет: Литература,
автор: Аноним