Предмет: Алгебра, автор: pesik2017

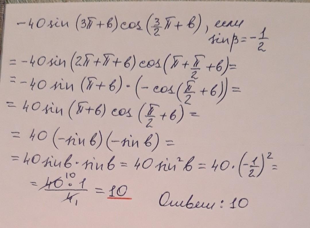
-40sin(3п+b)cos(3п/2+b) если sinb=-1/2

Приложения:

Ответы

Автор ответа: sharofat0
1

Ответ:

10.

Найдите значение триг. выражения.

Приложения:
Похожие вопросы
Предмет: Биология, автор: vlada3617
Вставьте пропущенное слово. Закончите определение. Бактерии – относительно просто устроенные микроорганизмы, состоящие из... 3. Число бактерий в проветриваемом помещении: A. Не изменяется Б. Увеличивается B. Уменьшается 4. Наибольшее количество бактерий содержится в:
A. Воде
Б. Воздухе
B. Почве
Г. Горных породах 5. Важную роль в накоплении кислорода на земле сыграли:
A. Цианобактерии
Б. Бациллы
B. Спириллы
Г. Вибрионы
6. Споры бактерий служат для:
A. Размножения
Б. Приспособления к выживанию в неблагоприятных условиях
B. Передвижения
7. Вставьте пропущенное слово. Закончите предложение.
Сапрофитные бактерии гниения являются санитарами нашей планеты, так как... 8. Выберите правильное определение.
Эпидемия – это:
A. Массовое заболевание среди людей
Б. Вид болезни
B. Название бактерии
Г. Часть бактерии
9. Вставьте пропущенные слова. Закончите предложение.
Болезнетворные бактерии, поселяясь в организме человека, питаются... отравляя...,
вызывая...
10. Выберите наиболее полный ответ.
Грибы – это:
A. Многоклеточные организмы, состоящие из грибницы и плодового тела.
Б. Организмы, состоящие из грибницы, плодового тела, размножаются спорами.
B. Организмы, которые питаются готовыми органическими веществами и размножаются
спорами.
Г. Многоклеточные и одноклеточные организмы, питаются готовыми органическими
веществами, размножаются спорами, обрывками грибницы, почкованием
11. К болезнетворным грибам относят:
А. Гриб мукор
Б. Гриб трутовик
В. Фитофтору
Г. Головню 12. К съедобным грибам относятся:
А. Сыроежка
Б. Масленок
В. Мухомор
Г. Гриб трутовик
13. Выберите правильные ответы.
Грибы сближает с животными:
A. Питаются готовыми органическими веществами
Б. Содержат в оболочках клеток хитин
B. Поглощают питательные вещества путем всасывания
Г. Накапливается в клетках гликоген
14. Выберите правильный ответ.
Плодовое тело – это:
A. Шляпка гриба
Б. Грибница
B. Ножка и шляпка гриба
Г. Ножка гриба и мицелий
15. Вставьте пропущенное слово:
Мицелий плотно оплетает корни деревьев и может проникать в ткани деревьев, образуя...
или...