Предмет: Информатика,
автор: DIMAKOTT
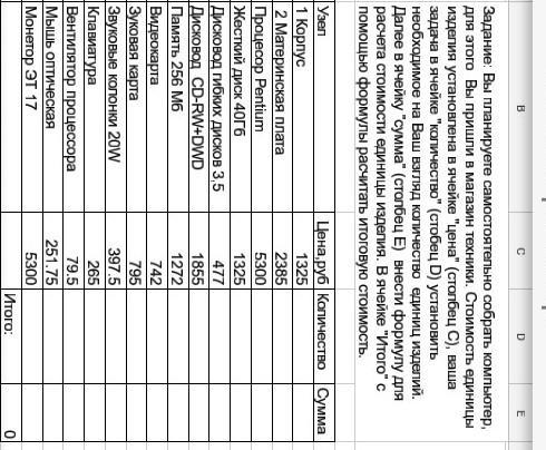
"Задание: Вы планируете самостоятельно собрать компьютер, для этого Вы пришли в магазин техники. Стоимость единицы изделия установлена в ячейке ""цена"" (столбец С), ваша задача в ячейке ""количество"" (стобец D) установить необходимое на Ваш взгляд количество единиц изделий. Далее в ячейку ""сумма"" (столбец Е) внести формулу для расчета стоимости единицы изделия. В ячейке ""Итого"" с помощью формулы расчитать итоговую стоимость."
Приложения:
Ответы
Автор ответа:
2
Ответ:
буду писать цифрами как в таблице 1-корпус 2-материнка и т.д
1-1шт=1325
2-1шт=2385
3-1шт=5300
4-40гб маловато можно взять штуки 4 =1325*4=5300
5-впринципе не нужно =0
6-тоже не актуально в наши дни=0
7-256 маловато возьмем тоже 4 штуки=1272*4=5088
8-1шт=742
9-1шт=795(если не встроена в материнку)
10-2шт =397,5*2=795
11-1шт=265
12-2шт=79,5*2=159
13-1шт=251,75
14-1шт=5300( но для тру геймеров минимум 3))))
в строчку ИТОГО Для этого нам потребуется наша таблица с данными. Выделяем, необходимый диапазон с данными. Находим сверху, на панели инструментов Excel, в группе «Редактирование» кнопку «Автосумма» кликаем и получаем результат. Результат вычисления функции автоматически запишется в свободную ячейку ниже нашего столбца.
Похожие вопросы
Предмет: Английский язык,
автор: oksa248
Предмет: Английский язык,
автор: miko77
Предмет: Английский язык,
автор: leriyab
Предмет: Химия,
автор: Анна83230