Предмет: Алгебра, автор: Mixasoff

Решить то что посередине даю 40 баллов

Приложения:

Ответы

Автор ответа: MizoriesKun
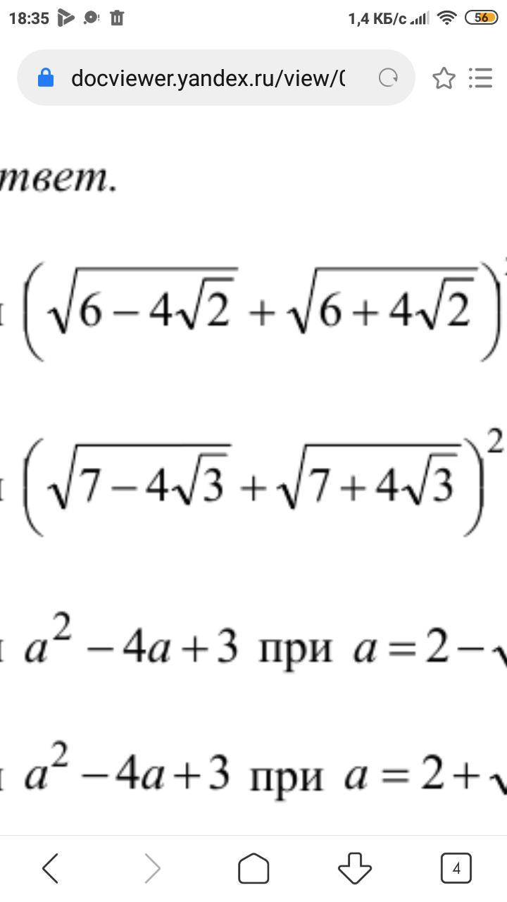
1

(√(7-4√3) +√(7+4√3) )² = √(7-4√3²) +√(7+4√3)² + 2√((7-4√3) *(7+4√3)) =

= 7- 4√3+ 7+ 4√3 + 2√(49- 48)= 14+2 =16

Похожие вопросы
Предмет: Қазақ тiлi, автор: 123456789103098
Помогите пожалуйста написать перессказ по этому стихотворению, срочно нужно плииз))))

Алайма, сұлтан, алайма,

Астыма мінген арғымақ,

Аяңдай түсіп, Марай ма?!

Арғымақ дейтін жылғылар,

Найза бойы жер келсе,

Жабындайын жалтаңдап,

Түсер жерін қарай ма?

Арғымақ атқа айдай таға қақтырса,

Кілегей қатқан Еділдің

Көкше мұзынан таяр ма?!

Ата ұлының баласы,

Асыл ерге малың бер,

Малың бер де; Басың қос,

Басыңа тарлық түскенде

Ардақтаған әділ жанын аяр ма?!

Біз бір
енеден бір едік,

Бір енеден
екі едік,

Екеуіміз
жүргенде,

Бір -
бірімізге ес едік.

Бір енеден
үш едік,

Үшеуіміз
жүргенде,

Толып жатқан
күш едік.

Бір енеден
бес едік,

Бесеуіміз
жүргенде,

Алашқа
болман деуші едік.

Өтемістен
туған он едік,

Онымыз атқа
мінгенде,

Жер қайысқан
қол едік.

Еділді көріп
емсеген,

Жайықты
көріп жемсеген.

Таудағы
тарлан шұбар біз едік.

 

 

 

 

 

 

 

 

Исатайдың
барында,

Қара қазан,
сары бала

Қамы үшін
қылыш сермедік.

Шабытымыз
келгенде,

Ерегіскен
дұшпанды

Шетінен
сүйреп жеп едік.

Баста дәурен
тұрғанда,

Біздер -
дағы, Бәйеке,

Оза көшіп,
кең жайлап,

Еркімен
еркін жатқан ер едік.

Еділ үшін
егестік,

Тептер үшін
тебістік.

Жайық үшін
жандастық,

Қиғаш үшін
қырылдық,

Теңдікті,
малды бермедік,

Теңдіксіз
малға көнбедік.

Ханның
кірген ақ орда,

Бұзуын ойлап
кеңестік.

Аламанға жел
беріп,

Аса жұртты
меңгердік.

Қара қазақ
баласын

Хан ұлына
теңгердік.