Предмет: Алгебра,
автор: patayebanoe
Помогите решить пожалуйста, срочно надо.
Приложения:
Ответы
Автор ответа:
0
Ответ:
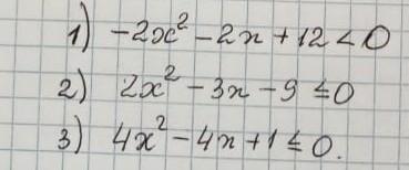
1)-2х^2-2х+12<0
D=(-2)^2-4*(-2)*12=4+8*12=4+96=100
D=корень из 100=10
х1=2+10/2*(-2)=12/-4=-3
х2=2-10/2*(-2)=-8/-4=2;
2)2х^2-3х-9<=0
D=(-3)^2-4*2*(-9)=9+72=81
D=корень из 81=9
х1=3+9/2*2=12/4=3
х2=3-9/2*2=-6/4=-3/2=-1.5;
3)4х^2-4х+1<=0
D=(-4)^2-4*4*1=16-16=0
Похожие вопросы
Предмет: Другие предметы,
автор: anna201187
Предмет: Английский язык,
автор: двоешник22222
Предмет: Қазақ тiлi,
автор: vdf
Предмет: Обществознание,
автор: Аноним
Предмет: Математика,
автор: rogozinalexand