Предмет: Математика,
автор: killlingcrystals
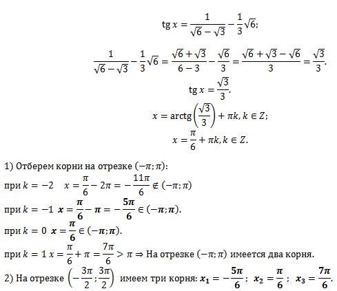
Найди число корней уравнения tgx=1/корень6-корень3-1/3корень6 на промежутке (-п;п)
На промежутке есть ....
Даю 100 баллов за полное решение
Приложения:
Ответы
Автор ответа:
0
Ответ: 1) 2 корня;
2) x₁ = -5п/6; x₂ = п/6; x₃ = 7п/6.
Приложения:
Похожие вопросы
Предмет: Українська мова,
автор: vlad2012n11
Предмет: Русский язык,
автор: danara99
Предмет: Українська мова,
автор: максимус1
Предмет: Геометрия,
автор: Рустемовна1
Предмет: Математика,
автор: май37