Предмет: Математика,
автор: BruhLLLondon
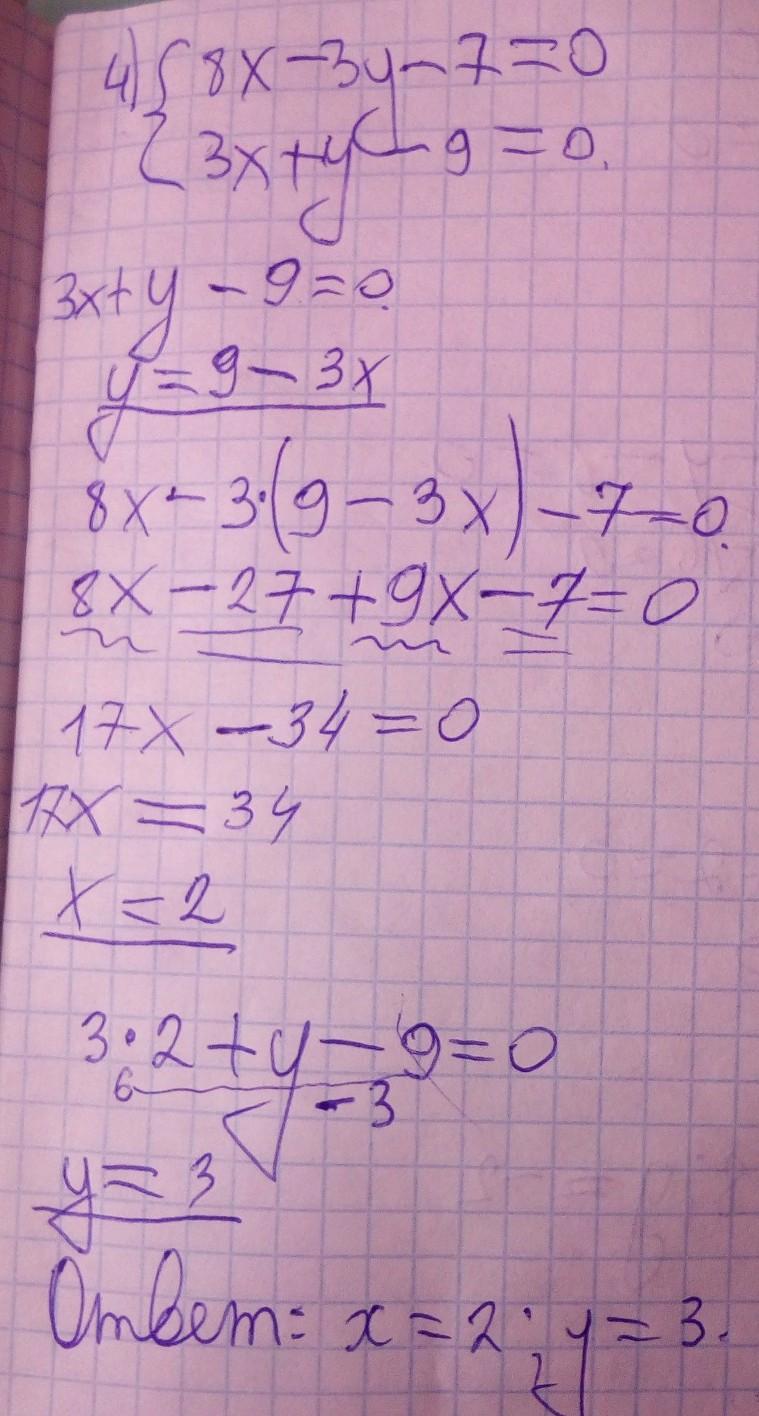
Решите системы уравнений способом подстановки
ДАЮ 23 БАЛЛА
Приложения:
Ответы
Автор ответа:
1
все во вложениях
6)система 12х-у-18=0
х+0.5у-5=0
х+0.5у-5=0
х=5-0.5у
12*(5-0.5у)-у-18=0
60-6у-у-18=0
-7у+42
-7у= -42
у=6
х+0.5*6-5=0
х+3-5=9
х=2
Ответ х=2;у=6
Приложения:
BruhLLLondon:
Спасибо
Похожие вопросы
Предмет: Русский язык,
автор: baxliza
Предмет: Английский язык,
автор: lida80
Предмет: Русский язык,
автор: ztngds
Предмет: Математика,
автор: Аноним
Предмет: Литература,
автор: ghjri