Предмет: Математика,
автор: karbunaroviliya92
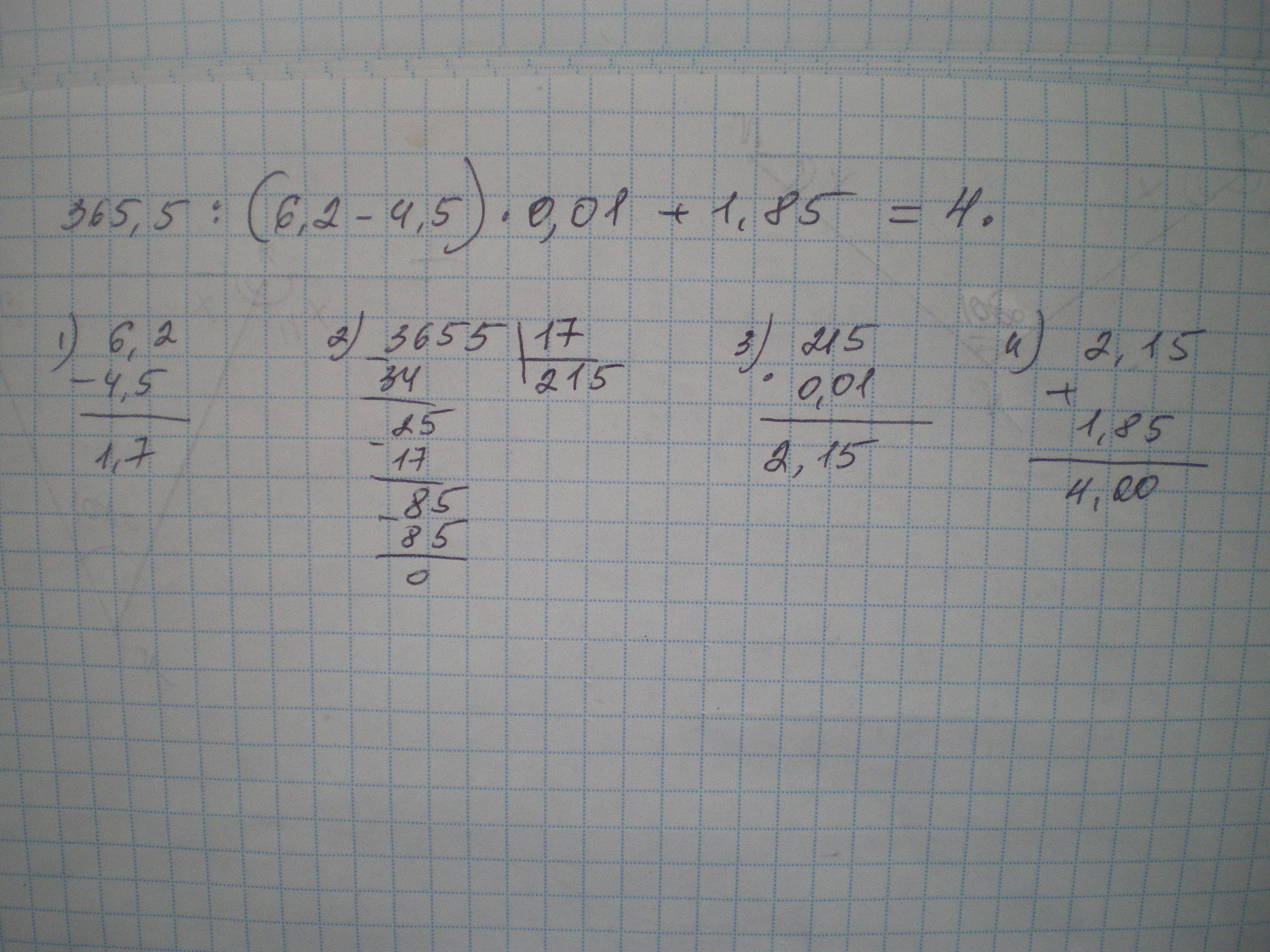
решите пожалуйста,пример по действиям.
Приложения:
Ответы
Автор ответа:
2
Ответ:
4.
Пошаговое объяснение:
Приложения:
karbunaroviliya92:
СПАСИБО, У ТЕБЯ ВСЕ ПОНЯТНО!
Похожие вопросы
Предмет: Другие предметы,
автор: amyRA
Предмет: Английский язык,
автор: Yuliya20052001
Предмет: Другие предметы,
автор: vehfnjd
Предмет: Математика,
автор: kopuk