Предмет: Алгебра, автор: kot1490

Реши уравнение (2x−14)2−5(2x−14)+6=0. 

  

(Ответ записывай в убывающем порядке, целую часть не выделяй, дробь не сокращай!)​

Ответы

Автор ответа: 22ibolsheballanaoge
1

Объяснение:

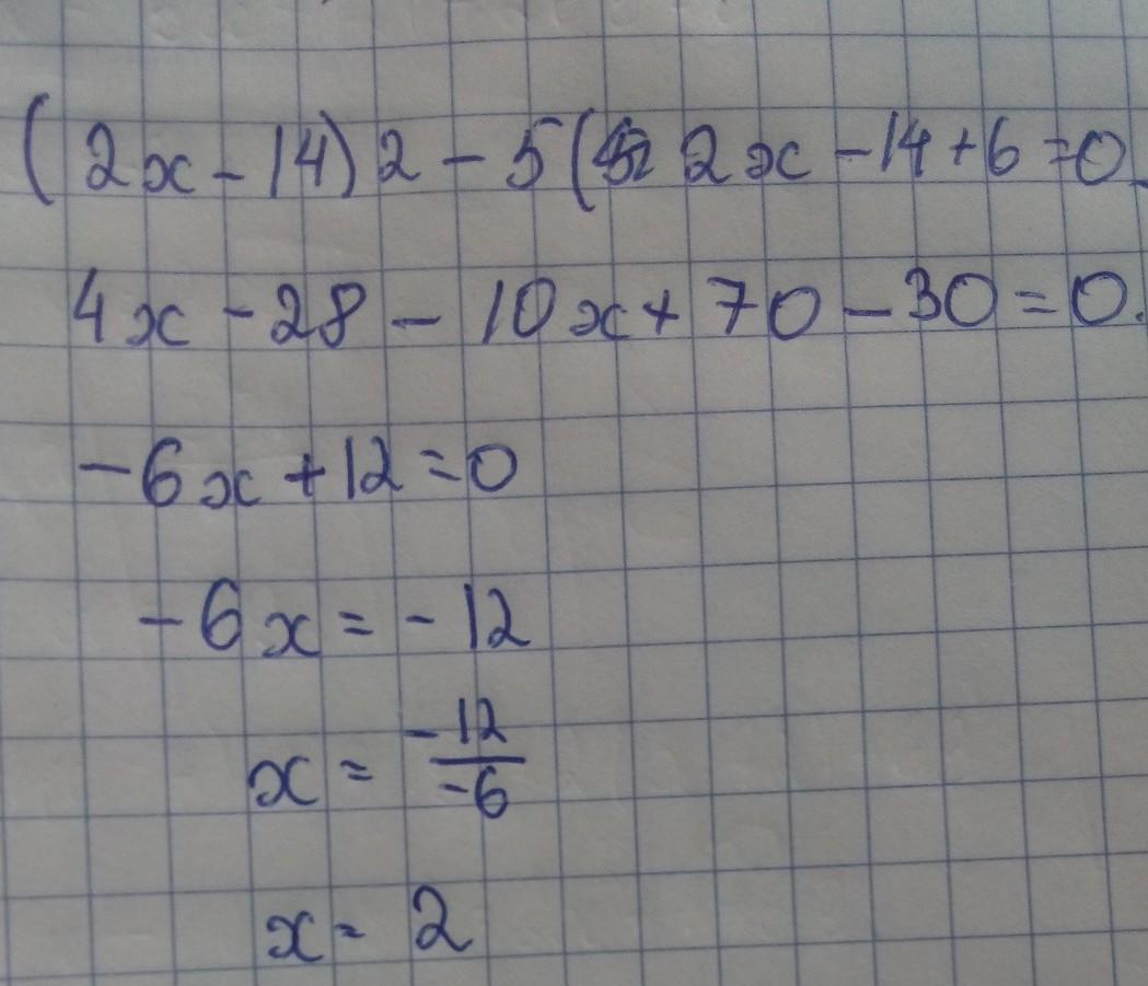
раскрываем скобки и все становится проще

Приложения:

kot1490: мне нужно две дроби, а не одна, как еще одну получить
22ibolsheballanaoge: т.е. ?
kot1490: то есть надо две, в ответе должно быть 2 дроби
22ibolsheballanaoge: тут как бы...как мне кажется есть один ответ...если бы перед 5 (...) было • или же квадрат , то тода бы в я бы могла получить 2 дроби , а так не знаю
muhammadovshamil: Да, там квадрат, не умножение на 2
Похожие вопросы
Предмет: Русский язык, автор: romasemenov1971
Предмет: Русский язык, автор: Danofdota2
 

 1.Укажите словосочетания со значением действия и предмет на который
переходит

а) работают школьники

б) жить припеваючи

в) рубить топором

г) уметь рисовать

д) подъемный кран

2. Найдите словосочетнания в которых допущена
ошибка в употреблении предлога падежа существительного

а) отказал в дружбе

б) не откликнулся к зову

в) вдуматься над вопросом

г) радоваться за друга

д) краснеть от волнения

е) уплатить за квартиру

3.Укажите способ связи в словосочетании-
согласование

а) каждому труженику

б) поиск неизведанного

в) стоял молча

г) первые препятствия

д) думал уйти

е) участвовал в походе

4.Укажите побудительное предложение

А) Куда так, кумушка, бежишь ты без оглядки? 

Б) Кто смеет говорить столь нагло и надменно! 

В) Забудем прошлое, уставим общий лад! 

Г) Ночи были ясные и по-весеннему теплые.

Д) Не говори мне о ней. 

Е) Вам понравилось отдыхать в горах?
Предмет: Русский язык, автор: ВаЛеРиЯ2000000000003