Предмет: Алгебра,
автор: vikchoys
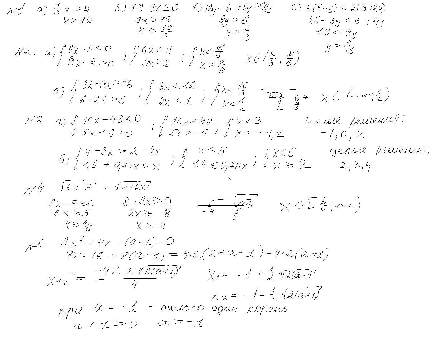
Помогите сделать алгебру. 20 баллов!!!
Приложения:
Ответы
Автор ответа:
1
Відповідь:
1.
а)х більше 12
б)х більше 19/3
В) у більше 2/3
г) у більше 19/9
Пояснення:
Автор ответа:
1
Ответ:
на фото
Объяснение:
Приложения:
Похожие вопросы
Предмет: Українська література,
автор: MeLkAyA2015
Предмет: Русский язык,
автор: миха03
Предмет: Русский язык,
автор: natashakarandaeva
Предмет: Математика,
автор: SHAXNOZA15
Предмет: Математика,
автор: Anastasia3111