Предмет: Математика,
автор: holder4344
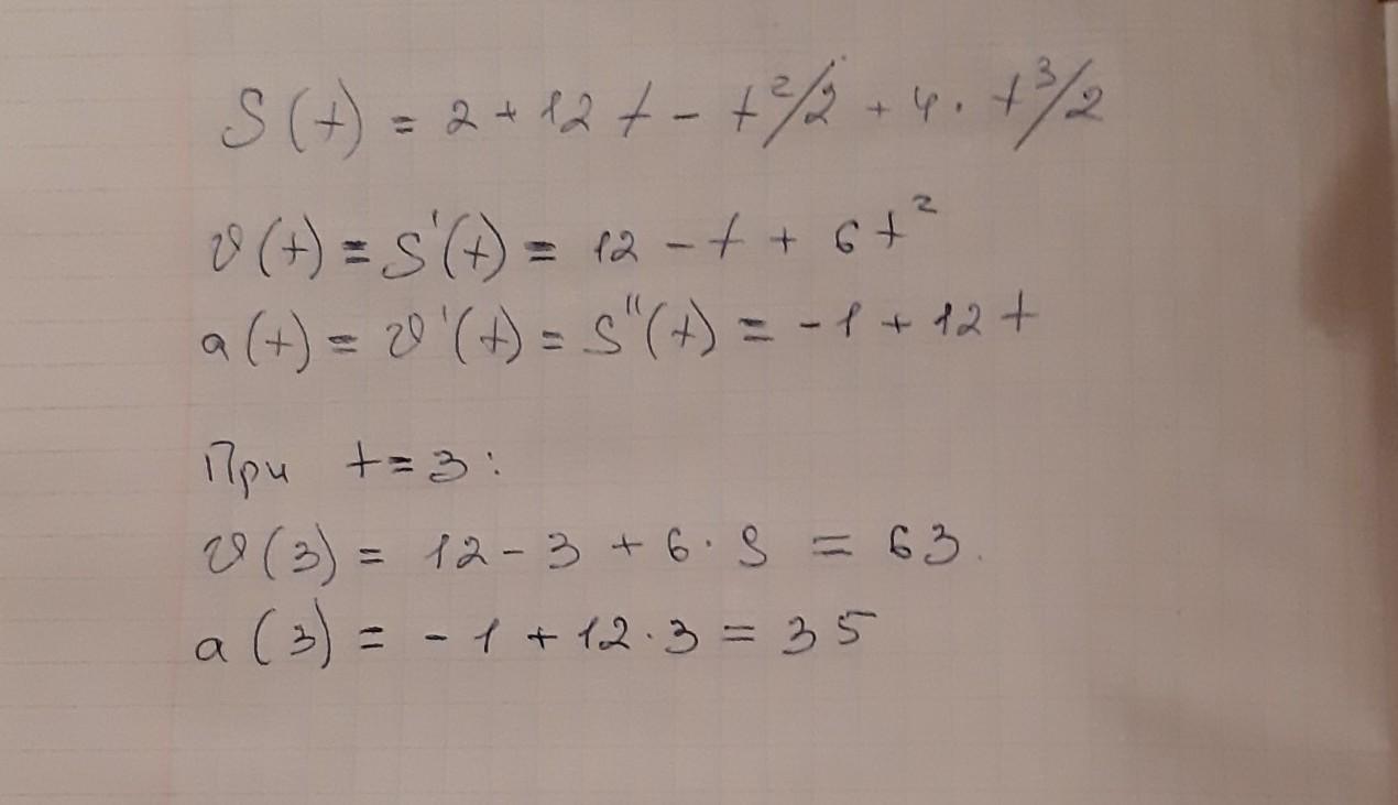
Найти скорость и ускорение тела
При (T) = 3
s(t)=2+12t-t^2/2+4*t^3/2
Ответы
Автор ответа:
1
Пошаговое объяснение:
Будут вопросы - пиши. Удачи.
Приложения:
Похожие вопросы
Предмет: Українська література,
автор: 13fytbol9da
Предмет: Русский язык,
автор: Krutoypacan132
Предмет: Українська література,
автор: herson97
Предмет: История,
автор: vafinagelusa