Предмет: Алгебра, автор: Dadanilnil

Пожалуйста, помогите с алгеброй! ;(

Приложения:

Ответы

Автор ответа: kalinintalin
0

Ответ:

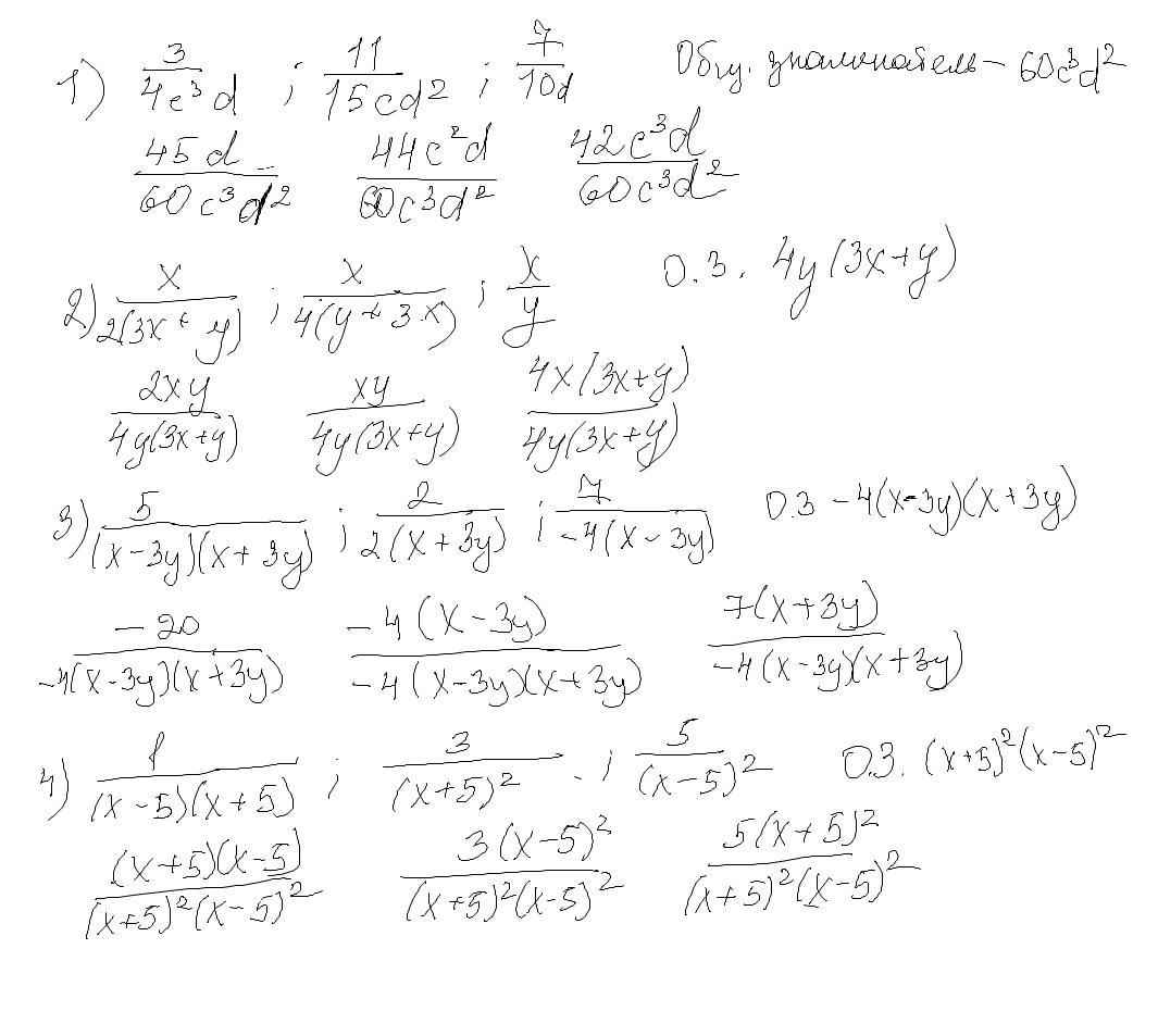
на фото

Объяснение:

Приложения:
Автор ответа: alenapotapenko42
0

Ответ:

Объяснение:

1)  15*3D /60C3D2=30d/60c3d2 : 11*4c2/60c3d2=44c2/60c3d2 : 7*6c3d/60c3d2=42c3d/60c3d2

2) 2xy/4y(3x+y) : xy/4y(3x+y) : 4x(3x+y)/4y(3x+y)

3) (x+5)(x-5)/(x-5)^2(x+5)^2  ; 3(x-5)^2/(x+5)^2(x-5)^2: 5(x+5)^2/(x-5)^2(x+5)^2

Похожие вопросы
Предмет: Русский язык, автор: jfhjbjh6446
(1)Есть люди, которые болезненно переживают чужие успехи. (2)Таким был Сеня Голубкин. (3)Ему всюду чудились выгоды и привилегии, которыми обладают другие. (4)Если кто-то заболевал, Сенька говорил: (5)«Ясно... (6)Решил отдохнуть!» (7)Если кто-то получал пятёрку за домашнее сочинение, он спрашивал: (8)«Что, мамочка с папочкой потрудились?»(9)Ему казалось, что любые удачи приходят к людям как бы за его счёт. (10)Зависть, в которой кроется исток многих человеческих слабостей и пороков, не оставляла Сеньку в покое...(11)Трудно было отыскать людей, более не похожих друг на друга, чем Ваня и Сенька. (12)В ту пору Ваня ещё очень ему сочувствовал. (13)Когда Сеня, путаясь и напрягаясь, блуждал по лабиринтам знаменитых четверостиший, Ваня страдал. (14)А после урока, на котором Голубкин получал очередную двойку, этот верзила теснил невысокого Ваню: тот, оказывается, подсказывал недостаточно чётко и ясно.(15)Однажды был назначен «районный» диктант, и Сеня Голубкин был в панике: двойка за тот диктант грозила ему второгодничеством.(16)После диктанта Сенька бегал по коридору и выспрашивал у своих одноклассников:– (17)Как пишется «в течение»? – (18)Ему отвечали.– (19)Одна ошибочка есть! – говорил он и загибал палец. – (20)А ты сам-то как написал? (21)Правильно?(22)Если оказывалось, что правильно, Сенька скулил:– (23)Ну, коне-е-чно, сам написа-ал!(24)После «районного» диктанта у Сеньки не хватило пальцев на обеих руках: он насчитал двенадцать ошибок. (25)Кроме запятых и тире...(26)На переменке ко мне подошёл Ваня Белов и спросил:– (27)Что ж, Вера Матвеевна, Голубкину теперь на второй год оставаться?– (28)Не знаю. (29)Ещё не проверила.(30)Когда я уселась в учительской за тетради, оказалось, что шесть работ из пачки исчезли. (31)Среди них были диктанты Сени Голубкина и Вани.(32)На большой перемене мы с директором в опустевшем классе стали пробиваться к голубкинской совести. (33)Именно тогда, в разгар нашей беседы, появился Ваня Белов и сказал:– (34)Я пришёл, чтобы отдать себя в руки правосудия!(35)Я не верила, что диктанты вытащил он, но директор согласился с версией Вани. (36)После уроков шестеро учеников, работы которых исчезли, переписали диктант. (37)Сеня Голубкин получил тройку, поскольку уже успел обнаружить на перемене свои ошибки, и перешёл в седьмой класс.(38)Он не проникся благодарностью к Ване Белову, напротив, именно с тех пор и невзлюбил его. (39)Голубкин не простил благородства, как не прощал он грамотности тем, кто ему же помогал находить ошибки. (40)Ваня Белов это понял. (41)После того как Сенька очередной раз насолил в чём-то своему спасителю, я как бы мимоходом сказала Ване:– (42)Ну что... ни одно доброе дело не остается безнаказанным?– (43)Мало ли что бывает! – ответил он. – (44)Из-за этого всем не верить?
Среди предложений 32–37 найдите сложное предложение с союзной сочинительной и подчинительной связью между частями. Напишите номер этого предложения
Предмет: История, автор: 2004тигр2004