Предмет: Математика,
автор: 1010293
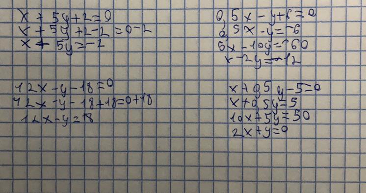
решите системы уравнений способом подстановки. хелп.
Вот:5) х+5у+2=0, 6)12х-у-18=0,
0,5х-у-6=0. Х+0,5у-5=0.
Ответы
Автор ответа:
2
Вот короче, думаю, что правильно
Приложения:
1010293:
О боги спасибо!!!
ответ какой?
там ответ неправильный
Похожие вопросы
Предмет: Русский язык,
автор: маталиша
Предмет: Русский язык,
автор: Аноним
Предмет: Русский язык,
автор: Ekaterinag1986
Предмет: Математика,
автор: 18114