Предмет: Математика,
автор: polinafedcenko1
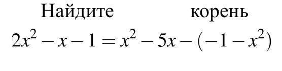
найдите корень уравнения
Приложения:
Ответы
Автор ответа:
0
Пошаговое объяснение:
Решенре уравнения на фотографии
Приложения:
Автор ответа:
0
Ответ:
x=0.5
Пошаговое объяснение:
2x^2-x-1=x^2-5x-(-1-x^2)
2x^2-x-1=x^2-5x+1+x^2
2x^2-x-1=2x^2-5x+1
2x^2-2x^2-x-1=-5x+1
-x-1=-5x+1
4x=2
x=0.5
Похожие вопросы
Предмет: Русский язык,
автор: Армянка2013
Предмет: Русский язык,
автор: sonechkagorina
Предмет: Русский язык,
автор: Kotei4
Предмет: Литература,
автор: karinabulatovi
Предмет: Математика,
автор: viktoriyasuper