Предмет: Алгебра,
автор: lizamorozova2002
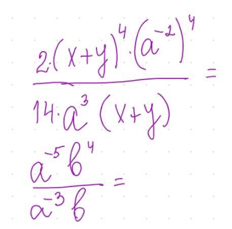
решить задание из скрина
Приложения:
Ответы
Автор ответа:
0
Ответ:
Фото
Объяснение:
Приложения:
lizamorozova2002:
спасибо
Похожие вопросы
Предмет: Русский язык,
автор: Аноним
Предмет: Другие предметы,
автор: ramilka13
Предмет: Русский язык,
автор: moiseevatm27
Предмет: Литература,
автор: pavlovskajacat
Предмет: Литература,
автор: karinabulatovi